电脑桌面
添加小米粒文库到电脑桌面
安装后可以在桌面快捷访问

2010中国数学奥林匹克解答VIP免费

2010中国数学奥林匹克解答_第1页
1/7
2010中国数学奥林匹克解答_第2页
2/7
2010中国数学奥林匹克解答_第3页
3/7
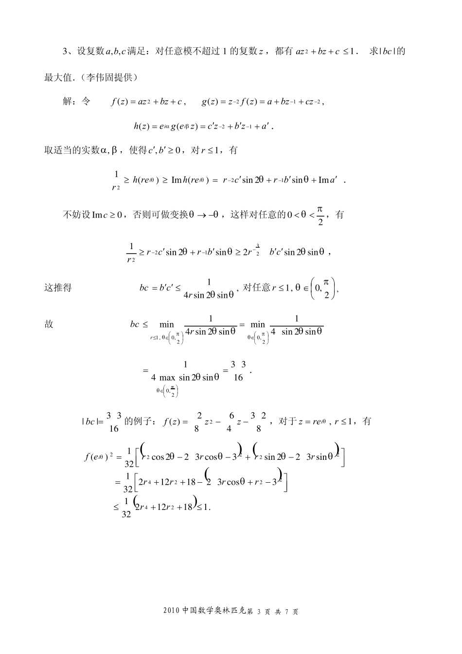
2010 中国数学奥林匹克第 1 页 共 7 页 2010 中国数学奥林匹克解答 第一天 1 、如图,两圆21 ,ΓΓ相交于BA,两点,过点 B 的一条直线分别交圆21 ,ΓΓ于点DC,,过点B 的另一条直线分别交圆21 ,ΓΓ于点FE,,直线CF 分别交圆21 ,ΓΓ于点QP,.设NM ,分别是弧 PB ,弧QB 的中点.求证:若EFCD =,则NMFC,,,四点共圆.(熊斌提供) 证明:连接DFAFAEADAC,,,,,则由AEFACBAFBADB∠=∠∠=∠,及题设EFCD =知AEFACDΔ≅Δ,所以AFEADCAFAD∠=∠=,,故AFDADF∠=∠.从而 ABFADFAFDABC∠=∠=∠=∠, 即 AB 是CBF∠的角平分线. 连接FNCM,,由于M 是弧 PB 的中点,所以CM 是DCF∠的角平分线. 同样 FN 是CFB∠的角平分线,于是FNCMBA,,三线共点.设它们的交点为 I ,在圆1Γ和2Γ 中,由圆幂定理得IBAIIMCI⋅=⋅,IFNIIBAI⋅=⋅,所以IMCIIFNI⋅=⋅.从而NMFC,,,四点共圆. 2010 中国数学奥林匹克第 2 页 共 7 页 2、设整数3≥k,数列}{na满足kak2=,且对所有kn >,有 ⎩⎨⎧+=−−−.nannaaannnn不互素与若互素,与若111,2,1 证明:数列}{1−−nnaa中有无穷多项是素数.(朱华伟提供) 证明:假设kllal≥=,2.再设 p 为1−l的最小素因子. 则 .,,1,1),1(⎩⎨⎧=<≤=−pippiil 即 .,,1,1)1,22(⎩⎨⎧=<≤=−+−+pippiilil 由题设知 .,222,1,121⎩⎨⎧=−+<≤−+=−+piplpiilail 因此pplplaaplpl=−+−−+=−−+−+)22()222(21为素数,)1(21−+=−+plapl. 由以上讨论知有无穷多个kl ≥,使lal2=且paaplpl=−−+−+21为1−l的最小素因子. 2010 中国数学奥林匹克第 3 页 共 7 页 3、设复数cba,,满足:对任意模不超过 1 的复数 z ,都有12≤++cbzaz. 求||bc 的 最大值.(李伟固提供) 解:令 cbzazzf++=2)(, 212)()(−−−++==czbzazfzzg, azbzczegezhii′+′+′==−−12)()(βα. 取适当的实数βα,,使得0,≥′′ bc,对1≤r,有 abrcrrehrehrii′+′+′=≥≥−−Imsin2sin)(Im)(1122θθθθ. 不妨设0Im≥c,否则可做变换θθ−→,这样对任意的20πθ <<,有 θθθθsin2sin2sin2sin123122cbrbrcrr′′≥′+′≥−−−, 这推得 ⎟⎠⎞⎜⎝⎛∈≤≤′′=2,0,1 ,sin2sin41πθθθrrcbbc对任意, 故 θθθθπθπθsin2sin41minsin2sin41min2,02,0,1⎟⎠⎞⎜⎝⎛∈⎟⎠⎞⎜⎝⎛∈≤=≤rbcr 1633sin2sinmax412,0==⎟⎠⎞⎜⎝⎛∈θθπθ. 1633...

1、当您付费下载文档后,您只拥有了使用权限,并不意味着购买了版权,文档只能用于自身使用,不得用于其他商业用途(如 [转卖]进行直接盈利或[编辑后售卖]进行间接盈利)。
2、本站所有内容均由合作方或网友上传,本站不对文档的完整性、权威性及其观点立场正确性做任何保证或承诺!文档内容仅供研究参考,付费前请自行鉴别。
3、如文档内容存在违规,或者侵犯商业秘密、侵犯著作权等,请点击“违规举报”。

碎片内容

2010中国数学奥林匹克解答

小辰4+ 关注
实名认证
内容提供者

出售各种资料和文档

确认删除?
VIP
微信客服
  • 扫码咨询
会员Q群
  • 会员专属群点击这里加入QQ群
客服邮箱
回到顶部