电脑桌面
添加小米粒文库到电脑桌面
安装后可以在桌面快捷访问

初一数学期末串讲讲义_2VIP免费

初一数学期末串讲讲义_2_第1页
1/9
初一数学期末串讲讲义_2_第2页
2/9
初一数学期末串讲讲义_2_第3页
3/9
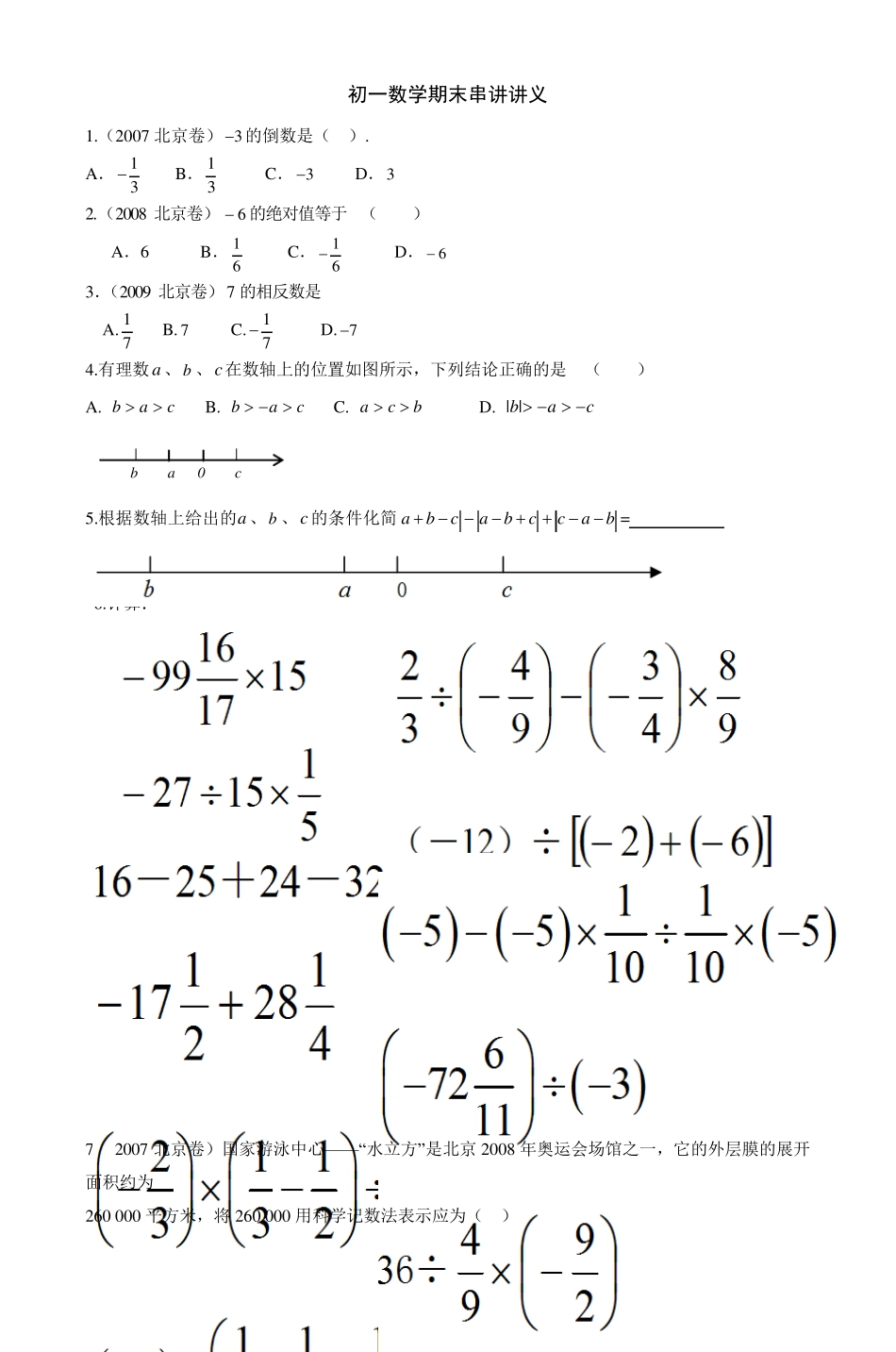
初一数学期末串讲讲义 1.(2007 北京卷)3 的倒数是( ). A.13 B.13 C.3 D.3 2.(2008 北京卷)6的绝对值等于 ( ) A.6 B.16 C.16 D.6 3.(2009 北京卷)7 的相反数是 A. 17 B. 7 C.17 D. 7 4.有理数a 、b 、c在数轴上的位置如图所示,下列结论正确的是 ( ) A. bac B. bac  C. acb D. ||bac   b a 0 c 5.根据数轴上给出的a 、b 、c的条件化简baccbacba= 6.计算: 232331112674   7.(2007 北京卷)国家游泳中心——“水立方”是北京2008 年奥运会场馆之一,它的外层膜的展开面积约为 260 000 平方米,将 260 000 用科学记数法表示应为( ) A.60.26 10 B.426 10 C. 62.6 10 D. 52.6 10 8.(2008 北京卷)截止到2008 年5 月19 日,已有21 600 名中外记者成为北京奥运会的注册记者,创历届奥运会之最.将21 600 用科学记数法表示应为( ) A.50.216 10 B.321.6 10 C.32.16 10 D.42.16 10 9.(2009 北京卷) 改革开放以来,我国国内生产总值由1978 年的3645 亿元增长到2008 年的300670亿元。将300670 用科学记数法表示应为( ) A.60.3006710 B.53.0067 10 C.43.0067 10 D.430.067 10 10.下列说法正确 ( ) A.近似数6 百和近似数600 的精确度是相同的 B.近似数1.50 有两个有效数字 C.数0.0695 保留两个有效数字得近似数是0.07 D.数0.0695 精确到千分位得近似数是0.070 11.(2009 太原)已知一个多项式与239xx的和等于2341xx ,则这个多项式是( ) A.51x B.51x C.131x D.131x 12.(2009 年衡阳)已知33 yx,则 yx35的值是( ) A.0 B.2 C.5 D.8 13.(2007 北京卷)若22(1)0mn,则2mn的值为( ) A.4 B.1 C.0 D.4 14. (2009年山西省)如图(1),把一个长为m 、宽为n 的长方形(mn)沿虚线剪开,拼接成图(2),成为在一角去掉一个小正方形后的一个大正方形,则去掉的小正方形的边长为( ) A.2mn B.mn C.2m D.2n 15.(2008 西城二模)当矩形一角的平分线分矩形一边为1cm 和3cm 两部分时,则这个矩形的面积为42cm 或 122cm .当矩形一角的平分线分矩形一边为1cm...

1、当您付费下载文档后,您只拥有了使用权限,并不意味着购买了版权,文档只能用于自身使用,不得用于其他商业用途(如 [转卖]进行直接盈利或[编辑后售卖]进行间接盈利)。
2、本站所有内容均由合作方或网友上传,本站不对文档的完整性、权威性及其观点立场正确性做任何保证或承诺!文档内容仅供研究参考,付费前请自行鉴别。
3、如文档内容存在违规,或者侵犯商业秘密、侵犯著作权等,请点击“违规举报”。

碎片内容

初一数学期末串讲讲义_2

小辰6+ 关注
实名认证
内容提供者

出售各种资料和文档

确认删除?
VIP
微信客服
  • 扫码咨询
会员Q群
  • 会员专属群点击这里加入QQ群
客服邮箱
回到顶部