电脑桌面
添加小米粒文库到电脑桌面
安装后可以在桌面快捷访问

初中数学正负数的加减乘除运算练习题VIP免费

初中数学正负数的加减乘除运算练习题_第1页
1/12
初中数学正负数的加减乘除运算练习题_第2页
2/12
初中数学正负数的加减乘除运算练习题_第3页
3/12
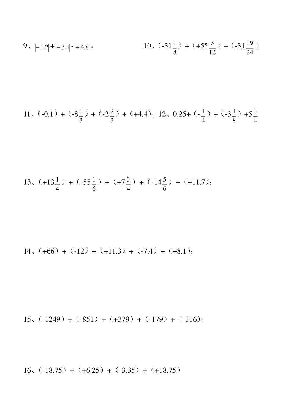
一、1 0 0 道加减乘除运算题。 1 、(-21 )+(+31 ); 2 、(-3 )+(+0 .9 9 ) 3 、(-5 )+(-8 )-(-1 0 ); 4 、(-2 .5 )+(+25 ) 5 、(-231 )+(-341 )-(-231 ); 6 、(-1 8 )+(+1 5 )+(-2 1 )+(+2 0 ) 7 、(-1 121 )+(+2 331 )+(+2 121 )+(-3 431 )+(-2 7 ) 8 、1 +(-2 )+3 +(-4 )+5 +……+(-1 9 9 8 )+1 9 9 9 ; 9 、2.1+1.3-8.4; 1 0 、(-3 181 )+(+5 51 25 )+(-3 12 41 9 ) 1 1 、(-0 .1 )+(-831 )+(-232 )+(+4 .4 );1 2 、0 .2 5 +(-41 )+(-381 )+543 1 3 、(+1 341 )+(-5 561 )+(+743 )+(-1 465 )+(+1 1 .7 ); 1 4 、(+6 6 )+(-1 2 )+(+1 1 .3 )+(-7 .4 )+(+8 .1 ); 1 5 、(-1 2 4 9 )+(-8 5 1 )+(+3 7 9 )+(-1 7 9 )+(-3 1 6 ); 1 6 、(-1 8 .7 5 )+(+6 .2 5 )+(-3 .3 5 )+(+1 8 .7 5 ) 17、(-432 )+(-331 )+(+621 )+(-241 ) 18、(-0.5)+(+341 )+(+2.75)+(-521 ) 19、(+387 )+(-143 )+(-387 )+(+143 )+(-621 ); 20、(-421 )+[(+75 )+(-0.5)+(+172 )]; 21、(-941 )+(-3672 )+(1+941 ); 22、(-384)+926+(-16)+74; 2 3 、(-8 .2 5 )+(-1 754 )+(+1 0 0 )+(+7 .8 )+(+41 ); 3 0 、(-1 2 .7 8 )+(-6 .7 3 )+(+8 .6 2 )+(+4 .7 3 ); 3 1 、(+221 )+(-331 )+(+521 )+(-932 ); 3 2 、0 +(-8 .2 )+)5 2()1 4(+312+323; 3 3 、(-1 1 )+1 2 +(-7 )+2 0 ; 3 4 、3 7 +(-6 )+(-9 0 )+1 7 ; 3 5 、2 .3 +(-1 .2 )+(-0 .8 )+(-2 .3 ); 3 6 、(-341 )+431 +(+441 )+(+132 ); 3 7 、0 .7 5 +21 +(-343 )+(-121 ) 3 8 、1 241 +2 761 +(-2 841 )+(-3 961 ) 3 9 、(-341 )-(-231 ); 4 0 、(-1 132 )-2 361 4 1 、-(-21 )-61 -31 -1 2 51 4 2 、-(+341 )-(-451 ) 4 3 、(-2 .1 )-(-4 .8 ) 4 4 、(-3 2 .6 )-(-2 7 .8 )-(-9 .2 ) 4 5 ...

1、当您付费下载文档后,您只拥有了使用权限,并不意味着购买了版权,文档只能用于自身使用,不得用于其他商业用途(如 [转卖]进行直接盈利或[编辑后售卖]进行间接盈利)。
2、本站所有内容均由合作方或网友上传,本站不对文档的完整性、权威性及其观点立场正确性做任何保证或承诺!文档内容仅供研究参考,付费前请自行鉴别。
3、如文档内容存在违规,或者侵犯商业秘密、侵犯著作权等,请点击“违规举报”。

碎片内容

初中数学正负数的加减乘除运算练习题

小辰3+ 关注
实名认证
内容提供者

出售各种资料和文档

确认删除?
VIP
微信客服
  • 扫码咨询
会员Q群
  • 会员专属群点击这里加入QQ群
客服邮箱
回到顶部