电脑桌面
添加小米粒文库到电脑桌面
安装后可以在桌面快捷访问

等比数列和等差数列VIP免费

等比数列和等差数列_第1页
1/8
等比数列和等差数列_第2页
2/8
等比数列和等差数列_第3页
3/8
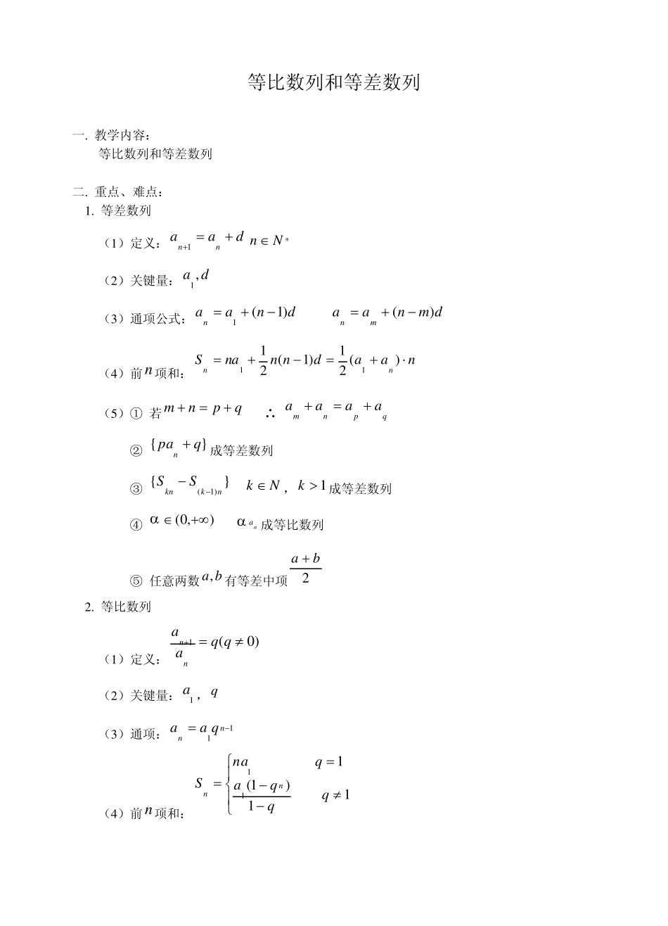
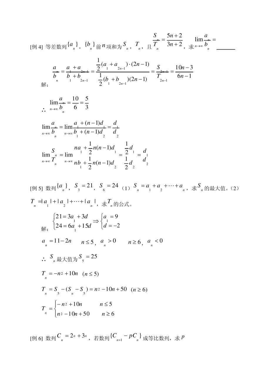
等比数列和等差数列 一. 教学内容: 等比数列和等差数列 二. 重点、难点: 1. 等差数列 (1)定义:daann1*Nn (2)关键量:da ,1 (3)通项公式:dnaan)1(1 dmnaamn)(  (4)前n项和:naadnnnaSnn)(21)1(2111 (5)① 若qpnm ∴ qpnmaaaa ② }{qpan 成等差数列 ③ }{)1(nkknSS Nk ,1k成等差数列 ④ ),0(  na成等比数列 ⑤ 任意两数ba,有等差中项2ba  2. 等比数列 (1)定义:)0(1qqaann (2)关键量:1a , q (3)通项:11nnqaa (4)前n项和:11)1(111qqqaqnaSnn (5)若qpnm,则qpnmaaaa }{npa )0(p成等比数列 nnnnnSSSSS232,,成等比数列 0na,}{logna a0(a且)1a成等差数列 (6)任意同号实数ba,,有等比中项ab 【典型例题】 [例1] 等差数列}{na中,35nS,11na,2d,求1a 解:2)1(21352)1(1111nnnaSnaann351an 或171an [例2] 等差数列}{na中,pSk ,qSk 2,则kS3 解:kkkkkSSSSS232,,成等差数列,kkkkkSSSSS232)(2 ∴ )(33pqSk [例3] 等差数列}{na共12 k项,所有项之和323 ,其中奇数项和为171,求1ka ,k 解:171323171)(21)1()(2122121kaakaaSSkk偶奇 ∴ 81521711kkk ∴ 19172171719Saaa ∴ 1989ak [例4] 等差数列}{na,}{nb前n项和为nS ,nT ,且2325nnTSnn,求nnnbalim 解:16310)12)((21)12()(211212121121121121nnTSnbbnaabbaabannnnnnnn ∴ 35610limnnnba 212111)1()1(limlimdddnbdnabannnn 212121112121)1(21)1(21limlimdddddnnnbdnnnaTSnnnn [例5] 数列}{na,213 S,246 S(1)nnaaaS21,求nS 的最大值。(2)||||||21nnaaaT,求nT 的公式。 解:dada15624332111291da nan211 5n,0na 6n,0na ∴ nS 最大值为255 S nnTn102  )5(n 5010)(255nnSSSTnn )6(n 6501051022nnnnnnTn [例6] 数列nnnC32 ,若数列}{1nnpCC...

1、当您付费下载文档后,您只拥有了使用权限,并不意味着购买了版权,文档只能用于自身使用,不得用于其他商业用途(如 [转卖]进行直接盈利或[编辑后售卖]进行间接盈利)。
2、本站所有内容均由合作方或网友上传,本站不对文档的完整性、权威性及其观点立场正确性做任何保证或承诺!文档内容仅供研究参考,付费前请自行鉴别。
3、如文档内容存在违规,或者侵犯商业秘密、侵犯著作权等,请点击“违规举报”。

碎片内容

等比数列和等差数列

确认删除?
VIP
微信客服
  • 扫码咨询
会员Q群
  • 会员专属群点击这里加入QQ群
客服邮箱
回到顶部