电脑桌面
添加小米粒文库到电脑桌面
安装后可以在桌面快捷访问

函数值域的求法VIP免费

函数值域的求法_第1页
1/9
函数值域的求法_第2页
2/9
函数值域的求法_第3页
3/9
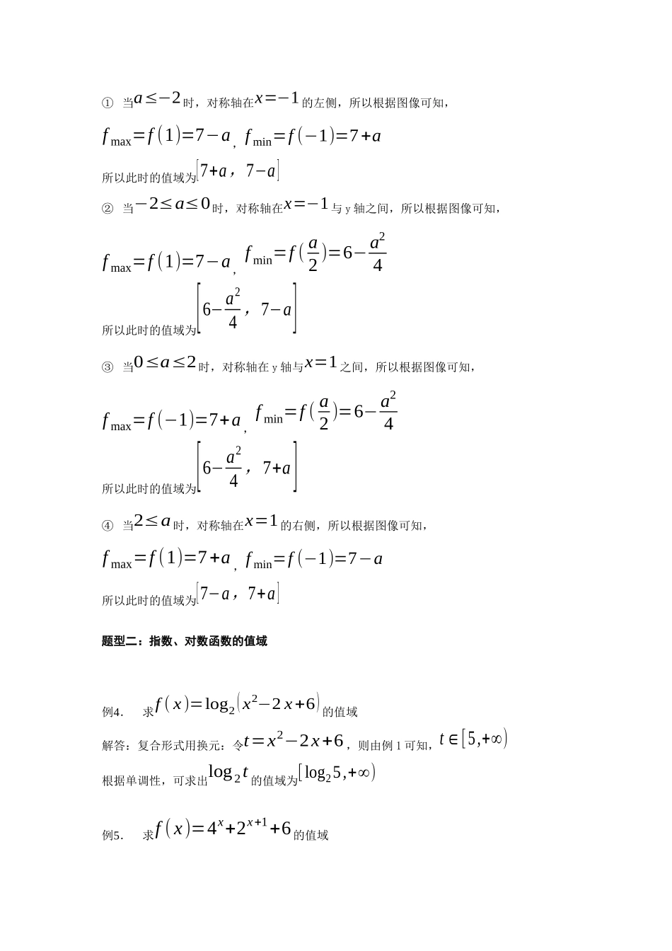
函数值域的求法题型一:二次函数的值域例1.求f(x)=x2−ax+6的值域解答:配方法:f(x)=x2−ax+6=(x−a2)2+6−a24≥6−a24所以值域为[6−a24,+∞]例2.求f(x)=x2−x+6在[−1,1]上的值域解答:函数图像法:f(x)=x2−x+6=(x−12)2+234画出函数的图像可知,,f(x)=x2−x+6在x=12时取到最小值234,而在x=−1时取到最大值8,可得值域为[234,8]。例3.求f(x)=x2−ax+6在[−1,1]上的值域解答:由函数的图像可知,函数的最值跟a的取值有关,所以进行分类讨论:①当a≤−2时,对称轴在x=−1的左侧,所以根据图像可知,fmax=f(1)=7−a,fmin=f(−1)=7+a所以此时的值域为[7+a,7−a]②当−2≤a≤0时,对称轴在x=−1与y轴之间,所以根据图像可知,fmax=f(1)=7−a,fmin=f(a2)=6−a24所以此时的值域为[6−a24,7−a]③当0≤a≤2时,对称轴在y轴与x=1之间,所以根据图像可知,fmax=f(−1)=7+a,fmin=f(a2)=6−a24所以此时的值域为[6−a24,7+a]④当2≤a时,对称轴在x=1的右侧,所以根据图像可知,fmax=f(1)=7+a,fmin=f(−1)=7−a所以此时的值域为[7−a,7+a]题型二:指数、对数函数的值域例4.求f(x)=log2(x2−2x+6)的值域解答:复合形式用换元:令t=x2−2x+6,则由例1可知,t∈[5,+∞)根据单调性,可求出log2t的值域为[log25,+∞)例5.求f(x)=4x+2x+1+6的值域解答:因为4x=(2x)2,所以,采用换元发,令t=2x,则t∈(0,+∞)则原函数变为t2+2t+6,可以根据二次函数值域的求法得到值域为(6,+∞)题型三:分式函数的值域例6.求函数f(x)=2x+3x+1的值域解法一:分离变量法,将分式中分子部分的变量分离出去。则可以换元,令t=x+1,原函数变为2t+1t=2+1t,由反比例函数的性质可知,值域为(−∞,2)∪(2,+∞)解法二:反函数法,利用原函数的值域就是反函数的定义域,来求值域。令y=f(x)=2x+3x+1,则yx+y=2x+3,得到x=3−yy−2,可知y≠2解法三:解析几何法。考虑数形结合,联想到分式y1−y2x1−x2表示两点间连线的斜率,则讲原函数写为2x−(−3)x−(−1),可以看成是(−1,−3),(x,2x)两点连线的斜率,其中(x,2x)是动点,构成y=2x直线轨迹,则连线必须与y=2x相交,所以连线斜率不能是2,得到值域。例7.求函数f(x)=2x+3x+1在[0,1]的值域解法一:分离变量之后采用函数图像法,令t=x+1,t∈[1,2],原函数变为2t+1t=2+1t,可以画出2+1t的图像,或者根据单调性直接可以得到值域为[52,3]解法二:解析几何法。2x−(−3)x−(−1),可以看成是(−1,−3),(x,2x)两点连线的斜率,其中(x,2x)是动点,不在构成直线,而是构成y=2x在[0,1]区间的线段,画出图像后观察可得斜率的范围为[52,3]例8.求函数f(x)=x2+3x+3x+1的值域解法一:分离变量法,令t=x+1,原函数变为t2+t+1t=t+1t+1由均值不等式可知当t>0,t+1t≥2,当t<0,t+1t≤−2,可以得到原函数的值域为(−∞,−1]∪[3,+∞)解法二:判别式法,令y=f(x)=x2+3x+3x+1,则yx+y=x2+3x+3,整理得关于x的一元二次方程x2+(3−y)x+3−y=0,满足方程有解,该方程的判别式Δ=(3−y)2−4(3−y)≥0可得y≤−1y或≥3,即函数的值域为(−∞,−1]∪[3,+∞)解法三:解析几何法,f(x)=x2+3x+3x+1=(x2+3x+3)−0x−(−1),可以看成是两点(x,x2+3x+3),(−1,0)之间连线的斜率,而(x,x2+3x+3)是动点,恰好构成y=x2+3x+3的轨迹,由图像可以看出,连线斜率的范围从而得到函数的值域。例9.求函数f(x)=x2+3x+3x+1在[0,1]的值域解答:此题限制了定义域,导致判别式法失效,采用分离变量法,画出函数图像来求函数的值域。令t=x+1,t∈[1,2],原函数变为t2+t+1t=t+1t+1画出对勾函数的图像,可以得到t+1t的值域范围是[2,52],则最后函数的值域为[3,72]题型四:三角函数的值域例10.求函数f(x)=3sinx+4cosx+2的值域解答:使用辅助角公式,f(x)=3sinx+4cosx+2=5sin(x+ϕ)+2,可知函数的值域为[3,7]例11.求函数f(x)=3sin2x+4cos2x+2的值域解答:先化简,都转为一次三角函数后使用辅助角公式,f(x)=3sin2x+4cos2x+2=3sin2x+2cos2x+2+2=√13sin(2x+ϕ)+4可知函数的值域为[4−√13,4+√13]例12.求函数f(x)=cos2x+4cosx+2的值域解答:先化为同角的三角函数,再换元为二次函数求解值域。f(x)=cos...

1、当您付费下载文档后,您只拥有了使用权限,并不意味着购买了版权,文档只能用于自身使用,不得用于其他商业用途(如 [转卖]进行直接盈利或[编辑后售卖]进行间接盈利)。
2、本站所有内容均由合作方或网友上传,本站不对文档的完整性、权威性及其观点立场正确性做任何保证或承诺!文档内容仅供研究参考,付费前请自行鉴别。
3、如文档内容存在违规,或者侵犯商业秘密、侵犯著作权等,请点击“违规举报”。

碎片内容

函数值域的求法

您可能关注的文档

确认删除?
VIP
微信客服
  • 扫码咨询
会员Q群
  • 会员专属群点击这里加入QQ群
客服邮箱
回到顶部