电脑桌面
添加小米粒文库到电脑桌面
安装后可以在桌面快捷访问

北京师范大学附中高考数学三模试卷含解析

北京师范大学附中高考数学三模试卷含解析_第1页
1/21
北京师范大学附中高考数学三模试卷含解析_第2页
2/21
北京师范大学附中高考数学三模试卷含解析_第3页
3/21
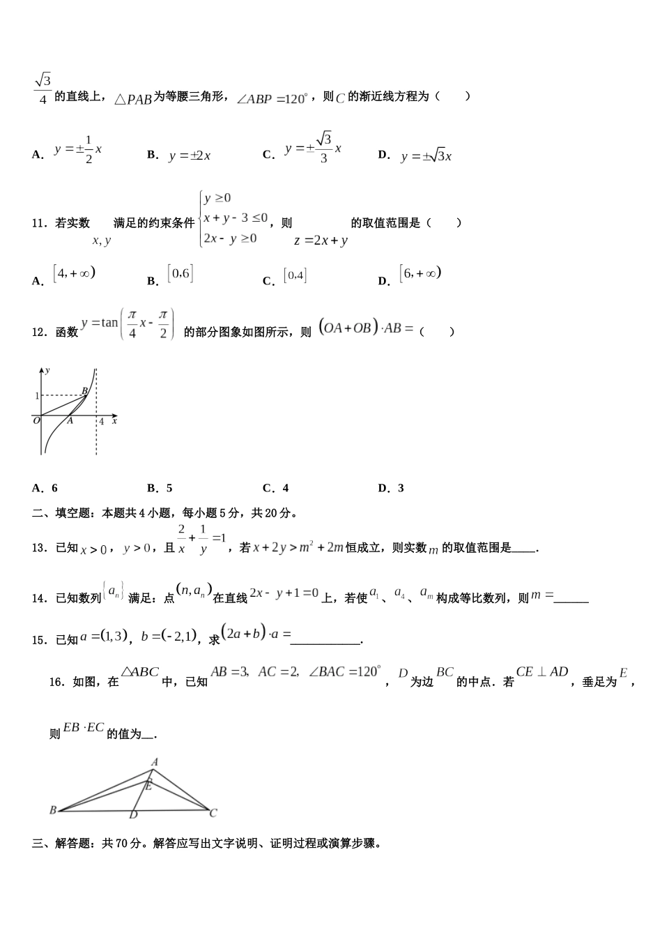
高考数学期末测试卷必考(重点基础题)含解析注意事项1.考试结束后,请将本试卷和答题卡一并交回.2.答题前,请务必将自己的姓名、准考证号用 0.5 毫米黑色墨水的签字笔填写在试卷及答题卡的规定位置.3.请仔细核对监考员在答题卡上所粘贴的条形码上的姓名、准考证号与本人是否相符.4.作答选择题,必须用 2B 铅笔将答题卡上对应选项的方框涂满、涂黑;如需改动,请用橡皮擦洁净后,再选涂其他答案.作答非选择题,必须用 05 毫米黑色墨水的签字笔在答题卡上的指定位置作答,在其他位置作答一律无效.5.如需作图,须用 2B 铅笔绘、写清楚,线条、符号等须加黑、加粗.一、选择题:本题共 12 小题,每小题 5 分,共 60 分。在每小题给出的四个选项中,只有一项是符合题目要求的。1.已知复数 z 满足(i 为虚数单位),则在复平面内复数 z 对应的点位于( )A.第一象限B.第二象限C.第三象限D.第四象限2.如图所示,网格纸上小正方形的边长为 ,粗线画出的是某多面体的三视图,则该几何体的各个面中最大面的面积为( )A.B.C.D.3.《易·系辞上》有“河出图,洛出书”之说,河图、洛书是中华文化,阴阳术数之源,其中河图的排列结构是一、六在后,二、七在前,三、八在左,四、九在右,五、十背中.如图,白圈为阳数,黑点为阴数.若从这 10 个数中任取3 个数,则这 3 个数中至少有 2 个阳数且能构成等差数列的概率为( ) A.B.C.D.4.在复平面内,复数( 为虚数单位)对应的点位于( )A.第一象限B.第二象限C.第三象限D.第四象限5.若集合,,则( )A.B.C.D.6.某公园新购进盆锦紫苏、盆虞美人、 盆郁金香,盆盆栽,现将这盆盆栽摆成一排,要求郁金香不在两边,任两盆锦紫苏不相邻的摆法共( )种A.B.C.D.7.已知双曲线(,)的左、右焦点分别为,以(为坐标原点)为直径的圆交双曲线于两点,若直线与圆相切,则该双曲线的离心率为( )A.B.C.D.8.斜率为 1 的直线 l 与椭圆相交于 A、B 两点,则的最大值为 A.2B.C.D.9.已知函数,则( )A.B.1C.-1D.010.已知是双曲线的左、右焦点,是的左、右顶点,点在过且斜率为的直线上,为等腰三角形,,则的渐近线方程为( )A.B.C.D.11.若实数满足的约束条件,则的取值范围是( )A.B.C.D.12.函数 的部分图象如图所示,则 ( )A.6B.5C.4D.3二、填空题:本题共 4 小题,每小题 5 分,共 20 ...

1、当您付费下载文档后,您只拥有了使用权限,并不意味着购买了版权,文档只能用于自身使用,不得用于其他商业用途(如 [转卖]进行直接盈利或[编辑后售卖]进行间接盈利)。
2、本站所有内容均由合作方或网友上传,本站不对文档的完整性、权威性及其观点立场正确性做任何保证或承诺!文档内容仅供研究参考,付费前请自行鉴别。
3、如文档内容存在违规,或者侵犯商业秘密、侵犯著作权等,请点击“违规举报”。

碎片内容

北京师范大学附中高考数学三模试卷含解析

您可能关注的文档

人从众+ 关注
实名认证
内容提供者

欢迎光临小店,本店以公文和教育为主,希望符合您的需求。

确认删除?
VIP
微信客服
  • 扫码咨询
会员Q群
  • 会员专属群点击这里加入QQ群
客服邮箱
回到顶部