电脑桌面
添加小米粒文库到电脑桌面
安装后可以在桌面快捷访问

(2014最新)高中数学 2.4.2平面向量数量积的坐标表示、模、夹角教案 新人教A版必修4

(2014最新)高中数学 2.4.2平面向量数量积的坐标表示、模、夹角教案 新人教A版必修4_第1页
1/3
(2014最新)高中数学 2.4.2平面向量数量积的坐标表示、模、夹角教案 新人教A版必修4_第2页
2/3
(2014最新)高中数学 2.4.2平面向量数量积的坐标表示、模、夹角教案 新人教A版必修4_第3页
3/3
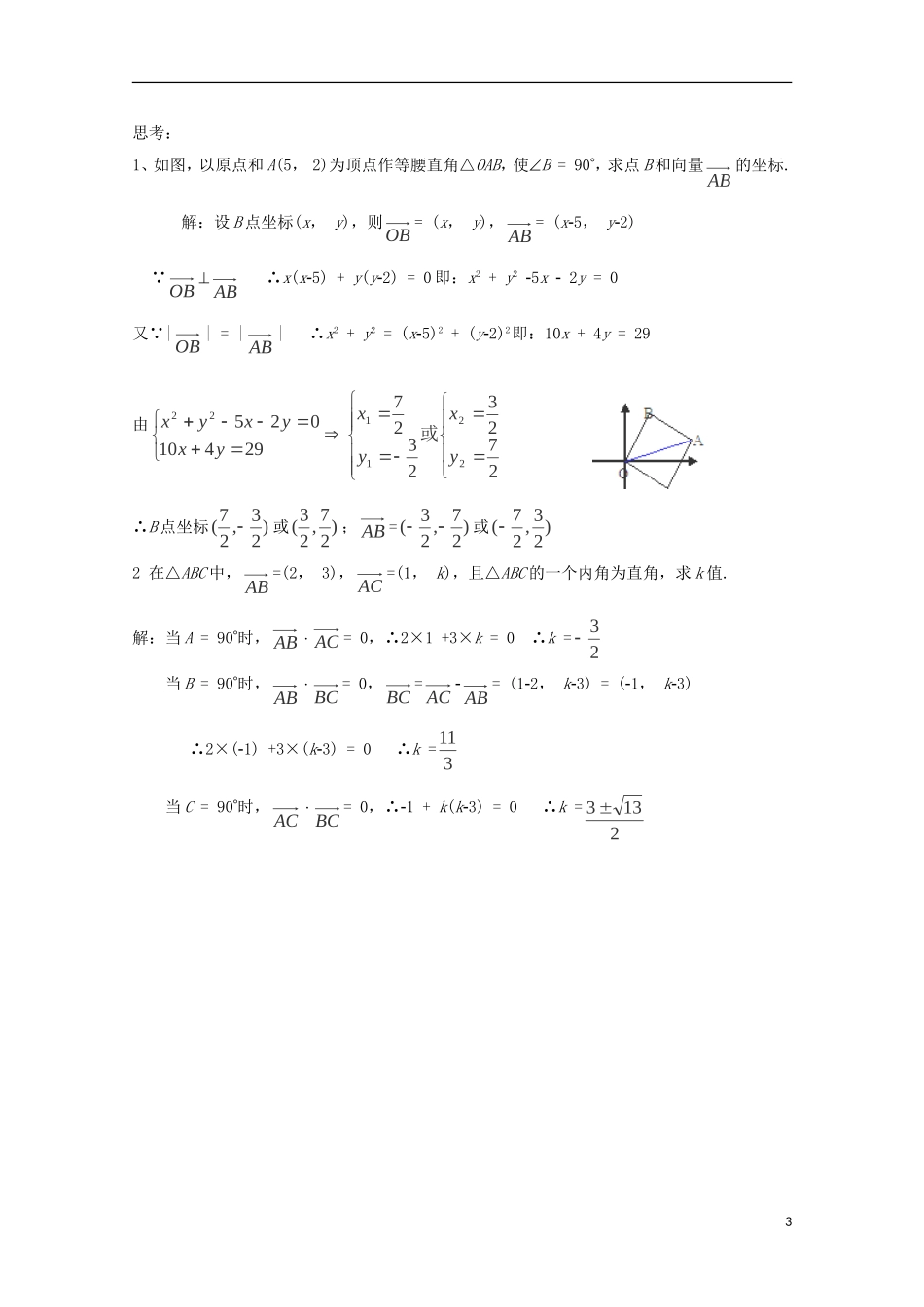
2.4.2 平面向量数量积的坐标表示、模、夹角教学目的:1.掌握平面向量数量积运算规律;2.能利用数量积的 5 个重要性质及数量积运算规律解决有关问题;3.掌握两个向量共线、垂直的几何判断,会证明两向量垂直,以及能解决一些简单问题. 教学重点:平面向量数量积及运算规律.教学难点:平面向量数量积的应用教学过程:一、复习引入:1.平面向量数量积(内积)的定义: 2.两个向量的数量积的性质: 设 a、b 为两个非零向量,e 是与 b 同向的单位向量.1 ea = ae =|a|cos; 2 ab  ab = 03 当 a 与 b 同向时,ab = |a||b|;当 a 与 b 反向时,ab = |a||b|. 特别的 aa = |a|2或aaa||4cos =||||baba  ; 5|ab| ≤ |a||b|3.练习:(1)已知|a|=1,|b|=2,且(a-b)与 a 垂直,则 a 与 b 的夹角是( )A.60° B.30° C.135° D.45°(2)已知|a|=2,|b|=1,a 与 b 之间的夹角为 3 ,那么向量 m=a-4b 的模为( )A.2 B.2 3 C.6 D.12二、讲解新课:探究:已知两个非零向量),(11 yxa ,),(22 yxb ,怎样用a 和b 的坐标表示ba  ?.1、平面两向量数量积的坐标表示两个向量的数量积等于它们对应坐标的乘积的和.即ba 2121yyxx2. 平面内两点间的距离公式(1)设),(yxa ,则222||yxa或22||yxa.1(2)如果表示向量a 的有向线段的起点和终点的坐标分别为),(11 yx、),(22 yx,那么221221)()(||yyxxa(平面内两点间的距离公式)3. 向量垂直的判定设),(11 yxa ,),(22 yxb ,则ba 02121yyxx4. 两向量夹角的余弦( 0) cos =||||baba222221212121yxyxyyxx二、讲解范例:例 1 已知 A(1, 2),B(2, 3),C(2, 5),试判断△ABC 的形状,并给出证明.例 2 设 a = (5, 7),b = (6, 4),求 a·b 及 a、b 间的夹角 θ(精确到 1o)分析:为求 a 与 b 夹角,需先求 a·b 及|a|·|b|,再结合夹角 θ 的范围确定其值.例 3 已知 a=(1, 3 ),b=( 3 +1, 3 -1),则 a 与 b 的夹角是多少?分析:为求 a 与 b 夹角,需先求 a·b 及|a|·|b|,再结合夹角 θ 的范围确定其值.解:由 a=(1, 3 ),b=( 3 +1, 3 -1)有 a·b= 3 +1+ 3 ( 3 -1)=4,|a|=2,|b...

1、当您付费下载文档后,您只拥有了使用权限,并不意味着购买了版权,文档只能用于自身使用,不得用于其他商业用途(如 [转卖]进行直接盈利或[编辑后售卖]进行间接盈利)。
2、本站所有内容均由合作方或网友上传,本站不对文档的完整性、权威性及其观点立场正确性做任何保证或承诺!文档内容仅供研究参考,付费前请自行鉴别。
3、如文档内容存在违规,或者侵犯商业秘密、侵犯著作权等,请点击“违规举报”。

碎片内容

(2014最新)高中数学 2.4.2平面向量数量积的坐标表示、模、夹角教案 新人教A版必修4

您可能关注的文档

文章天下+ 关注
实名认证
内容提供者

各种文档应有尽有

相关文档

确认删除?
VIP
微信客服
  • 扫码咨询
会员Q群
  • 会员专属群点击这里加入QQ群
客服邮箱
回到顶部