电脑桌面
添加小米粒文库到电脑桌面
安装后可以在桌面快捷访问

数理统计知识点总结VIP免费

数理统计知识点总结_第1页
1/22
数理统计知识点总结_第2页
2/22
数理统计知识点总结_第3页
3/22
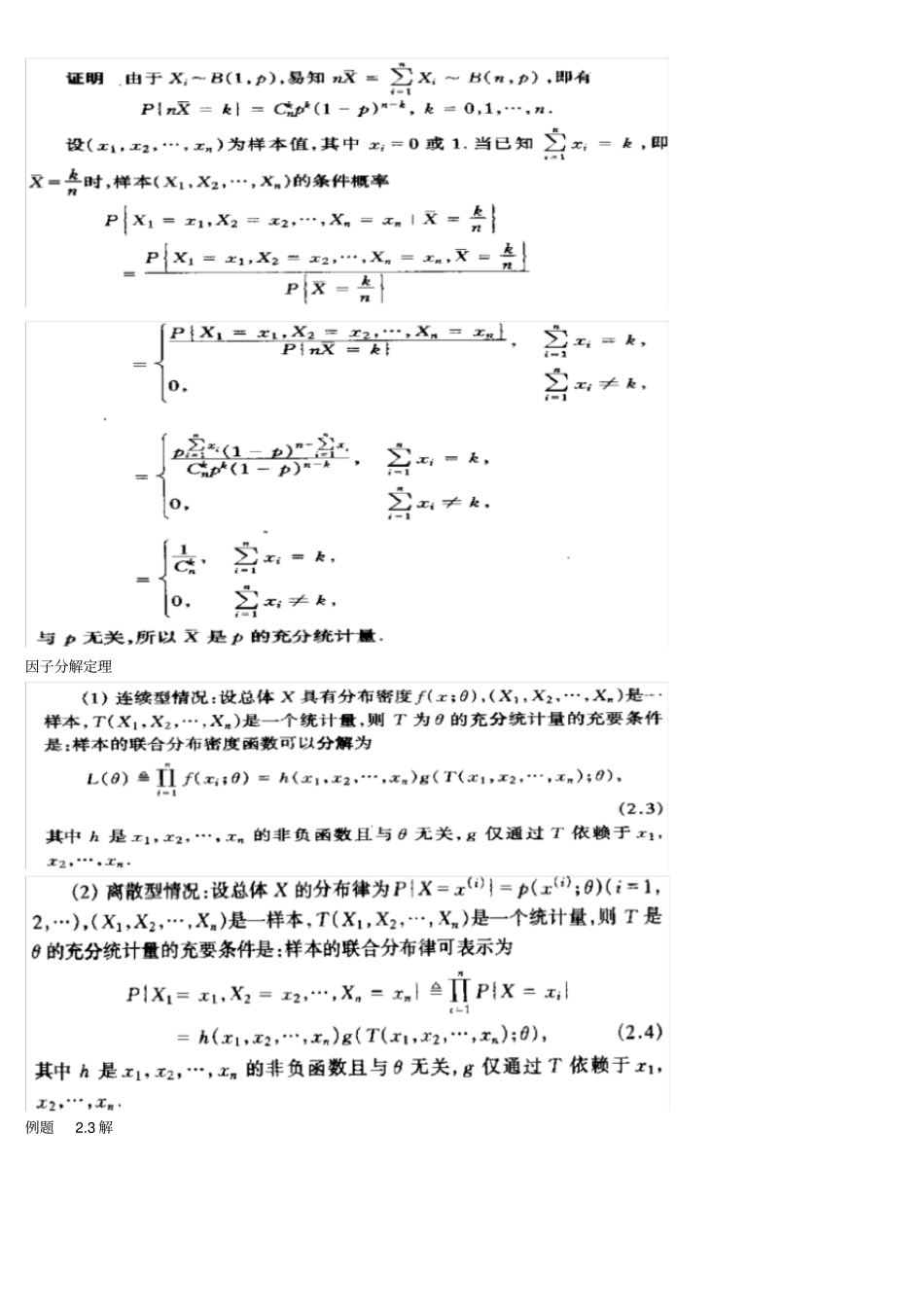
数理统计知识点归纳:第二章统计量和样本矩经验分布函数性质充分统计量完备统计量因子分解定理例题2.3解连续型完备统计量解题步骤:(1)定分布,知密度函数(2)求E(3)令分布E=0(4)推g(x)=0(5)知g(x)为完备统计量指数型分布族的完备统计量的求法抽样分布(正态总体样本均值和方差的分布)非正态总体的样本均值分布次序统计量(是充分统计量)第三章参数估计无偏估计均方误差准则相合估计点估计量的求法(1)矩估计法(2)最大似然估计法矩估计法的理论依据样本矩是相应总体矩的相合估计,即样本矩依概率收敛于相应的总体矩dxxxfxFxdEx)()(dxxfxxFdxEx222)()(最大似然估计法用次序统计量估计参数的方法样本极差R来估计总体标准差中位数来估计均值最小方差无偏估计求法步骤:(1)由分布写出联合分布密度函数L(x;θ)(2)因式分解,证明是充分完备统计量(3)如果不是,利用最大似然函数来求出再证明其完备统计性(4)进行无偏运算得出无偏性E(θ)=θ有效估计信息不等式有效估计区间估计一般步骤:正态总体数学期望的置信区间第四章统计决策和贝叶斯估计贝叶斯估计方法后验分布贝叶斯风险贝叶斯点估计贝叶斯估计量第五章假设检验独立性检验第六章方差分析单因素分析双因素非重复分析双因素重复分析第七章回归分析

1、当您付费下载文档后,您只拥有了使用权限,并不意味着购买了版权,文档只能用于自身使用,不得用于其他商业用途(如 [转卖]进行直接盈利或[编辑后售卖]进行间接盈利)。
2、本站所有内容均由合作方或网友上传,本站不对文档的完整性、权威性及其观点立场正确性做任何保证或承诺!文档内容仅供研究参考,付费前请自行鉴别。
3、如文档内容存在违规,或者侵犯商业秘密、侵犯著作权等,请点击“违规举报”。

碎片内容

数理统计知识点总结

您可能关注的文档

确认删除?
VIP
微信客服
  • 扫码咨询
会员Q群
  • 会员专属群点击这里加入QQ群
客服邮箱
回到顶部