电脑桌面
添加小米粒文库到电脑桌面
安装后可以在桌面快捷访问

计量经济学 案例分析 EviewsVIP免费

计量经济学 案例分析 Eviews_第1页
1/8
计量经济学 案例分析 Eviews_第2页
2/8
计量经济学 案例分析 Eviews_第3页
3/8
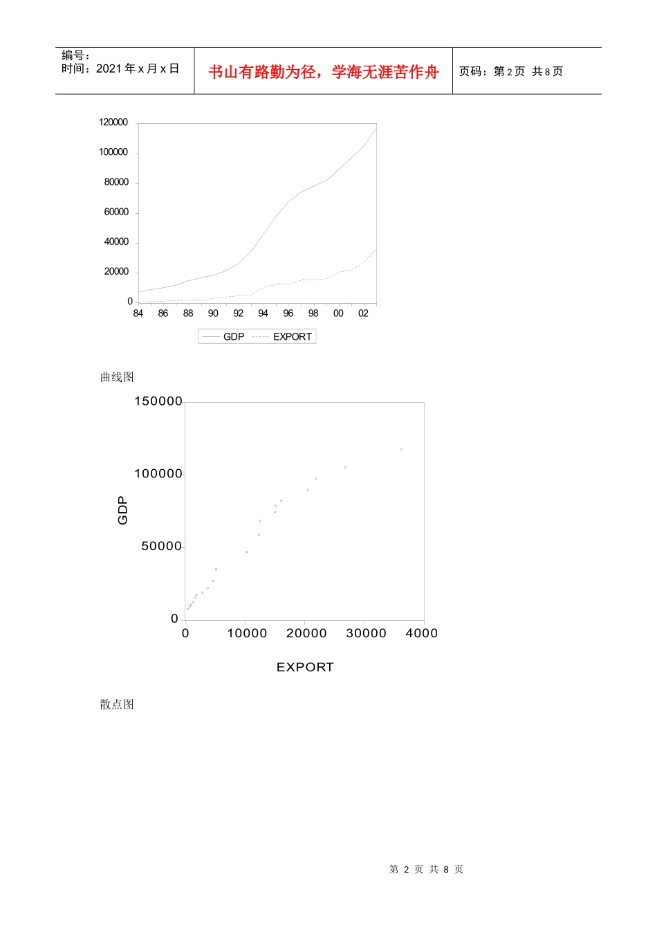
第1页共8页编号:时间:2021年x月x日书山有路勤为径,学海无涯苦作舟页码:第1页共8页一、研究课题:通过对1984——2003年某国GDP和出口的分析,研究GDP和出口量的相关关系并对参数估计值进行检验。二、模型及数据来源:GDP为因变量,出口量为自变量。选择模型是一元线性回归模型y=c0+c1x+u(y代表GDP,x代表出口量,u表示残差项)数据来自《计量经济学软件——eviews的使用》135页表12.1。提取其进口和国内生产总值两列数据:annualexportgdp1984580.571711985808.98964.419861082.110202.21987147011962.519881766.714928.31989195616909.219902985.818547.919913827.121617.819924676.326638.119935284.834634.4199410421.846759.4199512451.858478.1199612576.467884.6199715160.774462.6199815233.678345.2199916159.882067.5200020634.489468.1200122024.497314.8200226947.4105172.3200336287.9117251.9三、作业1、根据表格得到曲线图、散点图、X-Y曲线图:第2页共8页第1页共8页编号:时间:2021年x月x日书山有路勤为径,学海无涯苦作舟页码:第2页共8页曲线图散点图02000040000600008000010000012000084868890929496980002GDPEXPORT050000100000150000010000200003000040000EXPORTGDP第3页共8页第2页共8页编号:时间:2021年x月x日书山有路勤为径,学海无涯苦作舟页码:第3页共8页X-Y曲线图2、数据描述统计分析020000400006000080000100000120000100002000030000EXPORTGDP0246810010000200003000040000Series:EXPORTSample19842003Observations20Mean10616.82Median7853.300Maximum36287.90Minimum580.5000Std.Dev.10076.01Skewness0.954931Kurtosis3.161824Jarque-Bera3.061464Probability0.216377第4页共8页第3页共8页编号:时间:2021年x月x日书山有路勤为径,学海无涯苦作舟页码:第4页共8页3、简单的回归估计DependentVariable:GDPMethod:LeastSquaresDate:06/14/09Time:16:38Sample:19842003Includedobservations:20VariableCoefficientStd.Errort-StatisticProb.C11772.772862.4194.1128730.0007EXPORT3.5477900.19791917.925480.0000R-squared0.946953Meandependentvar49439.02AdjustedR-squared0.944006S.D.dependentvar36735.19S.E.ofregression8692.656Akaikeinfocriterion21.07298Sumsquaredresid1.36E+09Schwarzcriterion21.17256Loglikelihood-208.7298F-statistic321.3229Durbin-Watsonstat0.604971Prob(F-statistic)0.000000根据输出结果,写出OLS估计式,并进行分析说明:yt=-11772.77+3.547790xtR2=0.946953df=18检验回归系数显著性的原假设和备择假设是(给定a=0.05)H0:c1=0;H1:c1¹0。因为t=17.92548>t0.025(18)=2,所以检验结果是拒绝c1=0,即认为进口额和GDP之间存在回归关系,二者正方向变化。上述模型的经济解释是,对于出口量每增加1亿元,GDP将平均增加3.54779亿元。拟合优度为0.946953说明上式的拟合情况较好。GDP变动的94.7%可以由出口量的变动解释。4、自相关及其解决残差:残差序列图717113832.2580652-6661.258|.*|.|0123456020000400006000080000100000120000Series:GDPSample19842003Observations20Mean49439.02Median40696.90Maximum117251.9Minimum7171.000Std.Dev.36735.19Skewness0.374595Kurtosis1.689884Jarque-Bera1.898075Probability0.387113第5页共8页第4页共8页编号:时间:2021年x月x日书山有路勤为径,学海无涯苦作舟页码:第5页共8页065218964.414642.5733286-5678.17332857|.*|.|10202.215611.8295893-5409.62958929|.*|.|11962.516988.0173767-5025.51737674|.*|.|14928.318040.6467053-3112.34670528|.*|.|16909.218712.2433749-1803.04337495|.*|.|18547.922365.7576403-3817.85764028|.*|.|21617.825350.513468-3732.71346804|.*|.|26638.128363.2968377-1725.19683774|.*|.|34634.430522.12712564112.27287438|.|*.|46759.448747.1249708-1987.72497084|.*|.|58478.155949.1389142528.96108604|.|*.|67884.656391.193562911493.4064371|.|.*|74462.665559.74756948902.85243061|.|*|78345.265818.381469112526.8...

1、当您付费下载文档后,您只拥有了使用权限,并不意味着购买了版权,文档只能用于自身使用,不得用于其他商业用途(如 [转卖]进行直接盈利或[编辑后售卖]进行间接盈利)。
2、本站所有内容均由合作方或网友上传,本站不对文档的完整性、权威性及其观点立场正确性做任何保证或承诺!文档内容仅供研究参考,付费前请自行鉴别。
3、如文档内容存在违规,或者侵犯商业秘密、侵犯著作权等,请点击“违规举报”。

碎片内容

计量经济学 案例分析 Eviews

您可能关注的文档

确认删除?
VIP
微信客服
  • 扫码咨询
会员Q群
  • 会员专属群点击这里加入QQ群
客服邮箱
回到顶部