电脑桌面
添加小米粒文库到电脑桌面
安装后可以在桌面快捷访问

等比数列求和的一题多解VIP免费

等比数列求和的一题多解_第1页
1/2
等比数列求和的一题多解_第2页
2/2
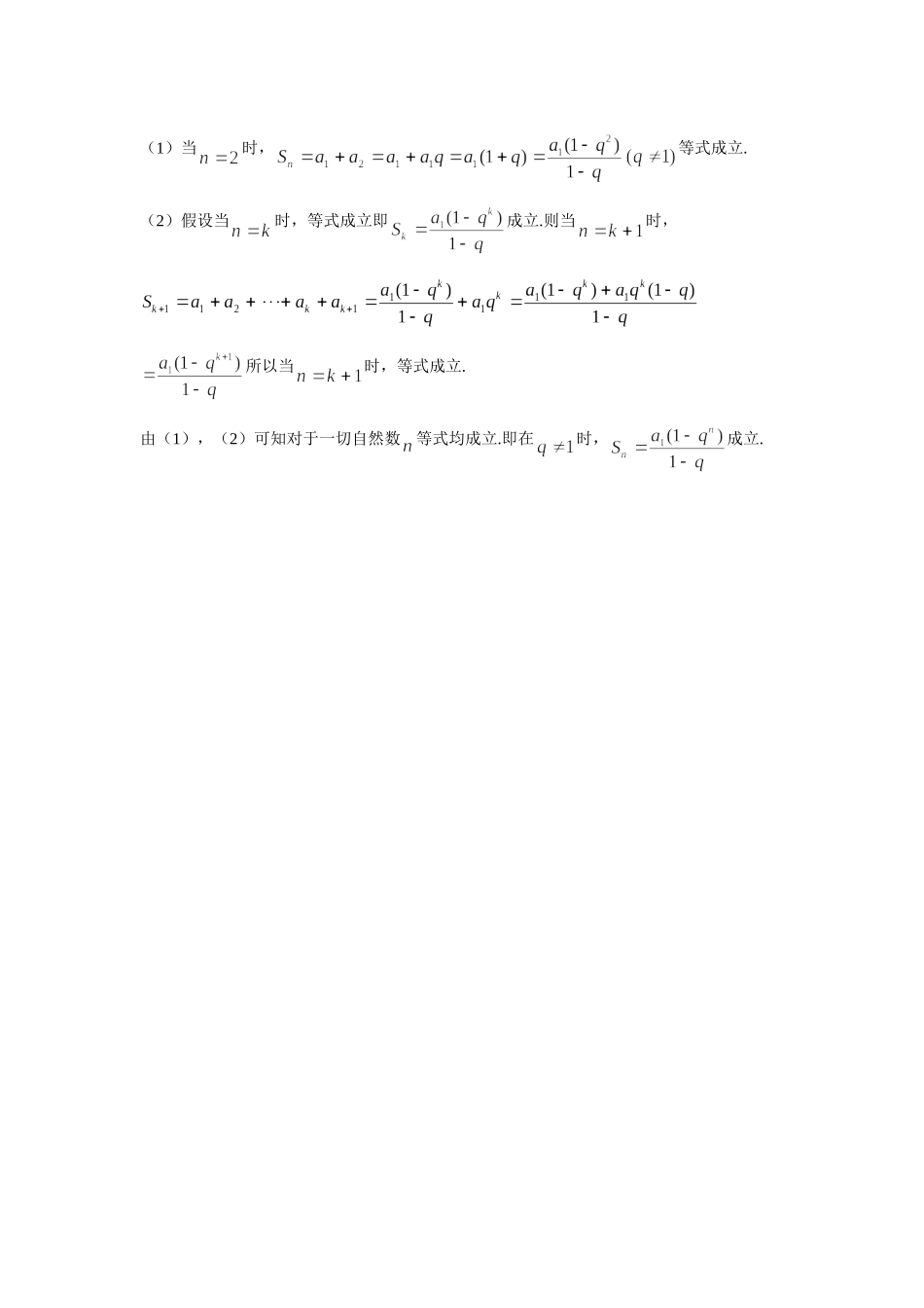
等比数列前项和公式的五种推导方法设数列为等比数列,公比为,则它的前项和即为.当时,显然有以下有五种方法证明当时,.证法一:迭加法根据等比数列的定义有:故=由故因此,当时,.证法二:等比性质法由等比数列的定义有根据等比性质有.即因此当时,.证法三.错位相减法由以及得式两边同时乘以得得因此当时,.证法四:乘法公式法根据乘法公式法.证法五:数学归纳法(1)当时,等式成立.(2)假设当时,等式成立即成立.则当时,所以当时,等式成立.由(1),(2)可知对于一切自然数等式均成立.即在时,成立.

1、当您付费下载文档后,您只拥有了使用权限,并不意味着购买了版权,文档只能用于自身使用,不得用于其他商业用途(如 [转卖]进行直接盈利或[编辑后售卖]进行间接盈利)。
2、本站所有内容均由合作方或网友上传,本站不对文档的完整性、权威性及其观点立场正确性做任何保证或承诺!文档内容仅供研究参考,付费前请自行鉴别。
3、如文档内容存在违规,或者侵犯商业秘密、侵犯著作权等,请点击“违规举报”。

碎片内容

等比数列求和的一题多解

您可能关注的文档

确认删除?
VIP
微信客服
  • 扫码咨询
会员Q群
  • 会员专属群点击这里加入QQ群
客服邮箱
回到顶部