电脑桌面
添加小米粒文库到电脑桌面
安装后可以在桌面快捷访问

二次函数图像与性质(一)VIP免费

二次函数图像与性质(一)_第1页
1/13
二次函数图像与性质(一)_第2页
2/13
二次函数图像与性质(一)_第3页
3/13
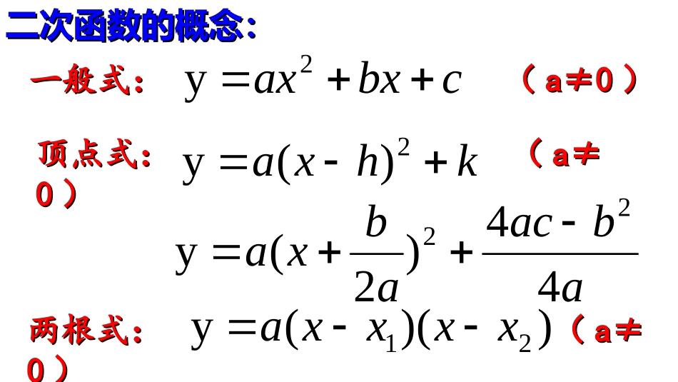
3.183.18二次函数图象和性质二次函数图象和性质(一)(一)第三章:函数第三章:函数二次函数的概念:二次函数的概念:cbxax2ykhxa2)(yabacabxa44)2(y22))((y21xxxxa一般式:(一般式:(aa≠≠00))顶点式:(顶点式:(aa≠≠00))两根式:(两根式:(aa≠≠00))P74P74::二次函数的图像:二次函数的图像:aa:表示开口:表示开口bb和和aa一起:决定对称一起:决定对称轴轴cc:抛物线与:抛物线与yy轴交点轴交点a<0a<0a>0a>0b>0b>0b>0b>0c>0c>0c<0c<0P72P72::对称轴:对称轴:2ab-x开口向下:开口向下:二次函数的图像:二次函数的图像:bb22-4ac-4ac:与:与xx轴的交点个轴的交点个数数bb22-4ac>0-4ac>0bb22-4ac=0-4ac=0bb22-4ac<0-4ac<0P72P72::P74P74::二次函数的图像:二次函数的图像:a+b+ca+b+c::当当x=1x=1时,时,yy的的值。值。●a+b+ca+b+c>>00a-b+ca-b+c::当当x=-1x=-1时,时,yy的的值。值。●a-b+ca-b+c<<002a-4b+c2a-4b+c::当当x=-2x=-2时,时,yy的的值。值。2a-4b+c2a-4b+c<<00●P72P72::aa>>00bb<<00cc<<00bb22-4ac-4ac>>001a2b-得到:得到:-b=2a-b=2aP73P73::××√√××√√aa<<00bb>>00cc>>00bb22-4ac-4ac>>00P74P74::aa>>00bb<<00cc<<0021a2b-x得:得:-a=b-a=b∴③∴③2a+b=a2a+b=a√√××√√××>0>0√√∵②∵②a>0a>0,,c<0c<0∴∴2a-3c>02a-3c>0××P73P73::aa<<00bb>>00cc>>00bb22-4ac-4ac>>00√√√√√√axax2+2+bx+c=mbx+c=m即:即:y=my=mP72P72:比较难:比较难A

1、当您付费下载文档后,您只拥有了使用权限,并不意味着购买了版权,文档只能用于自身使用,不得用于其他商业用途(如 [转卖]进行直接盈利或[编辑后售卖]进行间接盈利)。
2、本站所有内容均由合作方或网友上传,本站不对文档的完整性、权威性及其观点立场正确性做任何保证或承诺!文档内容仅供研究参考,付费前请自行鉴别。
3、如文档内容存在违规,或者侵犯商业秘密、侵犯著作权等,请点击“违规举报”。

碎片内容

二次函数图像与性质(一)

您可能关注的文档

精品文档+ 关注
实名认证
内容提供者

中小学学习资料大全

相关文档

确认删除?
VIP
微信客服
  • 扫码咨询
会员Q群
  • 会员专属群点击这里加入QQ群
客服邮箱
回到顶部