电脑桌面
添加小米粒文库到电脑桌面
安装后可以在桌面快捷访问

高中数学 第三章 指数函数和对数函数 3.2 指数扩充及其运算性质学业分层测评 北师大版必修1-北师大版高一必修1数学试题VIP免费

高中数学 第三章 指数函数和对数函数 3.2 指数扩充及其运算性质学业分层测评 北师大版必修1-北师大版高一必修1数学试题_第1页
1/4
高中数学 第三章 指数函数和对数函数 3.2 指数扩充及其运算性质学业分层测评 北师大版必修1-北师大版高一必修1数学试题_第2页
2/4
高中数学 第三章 指数函数和对数函数 3.2 指数扩充及其运算性质学业分层测评 北师大版必修1-北师大版高一必修1数学试题_第3页
3/4
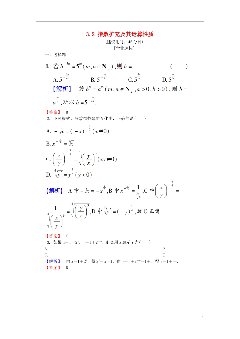
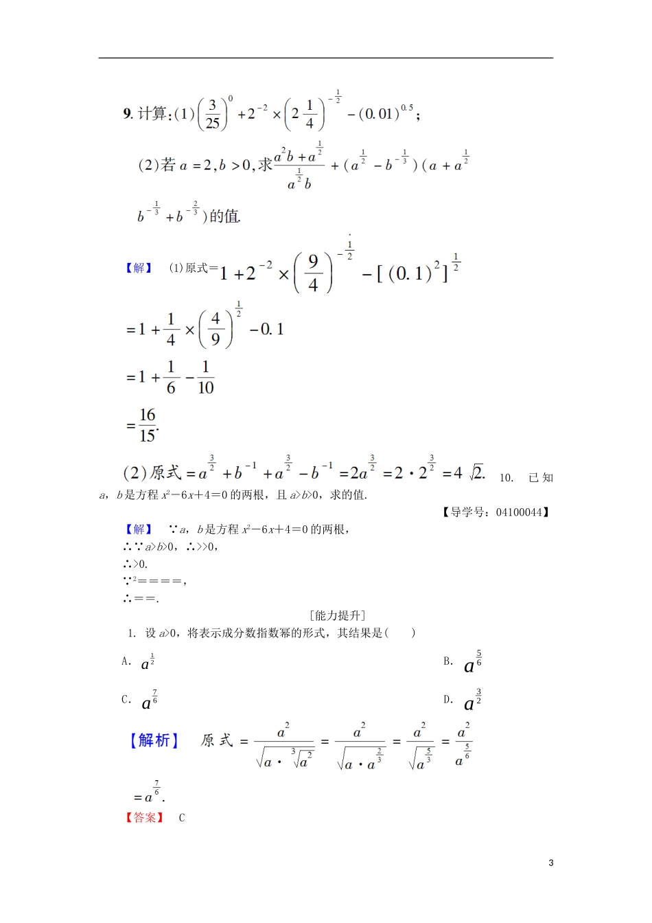
3.2指数扩充及其运算性质(建议用时:45分钟)[学业达标]一、选择题【答案】B2.下列根式、分数指数幂的互化中,正确的是()【答案】C3.如果x=1+2b,y=1+2-b,那么用x表示y为()A.B.C.D.【解析】由x=1+2b,得2b=x-1,由y=1+2-b=1+,得y=1+=.【答案】D1【答案】A5.化简的结果是()A.B.-C.aD.-a【解析】由式子可知a<0,原式===-.【答案】B二、填空题6.将用分数指数幂表示为________.【解析】【答案】21a7.212++-·328=________.【解析】原式=+++1-22=2-3.【答案】2-38.如果a=3,b=384,那么=________.三、解答题2【解】(1)原式=10.已知a,b是方程x2-6x+4=0的两根,且a>b>0,求的值.【导学号:04100044】【解】∵a,b是方程x2-6x+4=0的两根,∴∵a>b>0,∴>>0,∴>0.∵2====,∴==.[能力提升]1.设a>0,将表示成分数指数幂的形式,其结果是()A.21aB.65aC.67aD.23a【答案】C32.·等于()A.-B.-C.D.【答案】A【答案】4.(1)已知2x+2-x=3,求8x+8-x的值;【解】(1)8x+8-x=(2x)3+(2-x)3=(2x+2-x)[(2x)2-2x·2-x+(2-x)2]=3[(2x+2-x)2-3·2x·2-x]=3×(32-3)=18.(2)∵a≠0,a-27b≠0,4

1、当您付费下载文档后,您只拥有了使用权限,并不意味着购买了版权,文档只能用于自身使用,不得用于其他商业用途(如 [转卖]进行直接盈利或[编辑后售卖]进行间接盈利)。
2、本站所有内容均由合作方或网友上传,本站不对文档的完整性、权威性及其观点立场正确性做任何保证或承诺!文档内容仅供研究参考,付费前请自行鉴别。
3、如文档内容存在违规,或者侵犯商业秘密、侵犯著作权等,请点击“违规举报”。

碎片内容

高中数学 第三章 指数函数和对数函数 3.2 指数扩充及其运算性质学业分层测评 北师大版必修1-北师大版高一必修1数学试题

您可能关注的文档

确认删除?
VIP
微信客服
  • 扫码咨询
会员Q群
  • 会员专属群点击这里加入QQ群
客服邮箱
回到顶部