电脑桌面
添加小米粒文库到电脑桌面
安装后可以在桌面快捷访问

高中数学 第3章 指数函数和对数函数 3.5.1 对数函数的概念 3.5.2 对数函数ylog2x的图像和性质课后篇巩固提升(含解析)北师大版必修1-北师大版高一必修1数学试题VIP免费

高中数学 第3章 指数函数和对数函数 3.5.1 对数函数的概念 3.5.2 对数函数ylog2x的图像和性质课后篇巩固提升(含解析)北师大版必修1-北师大版高一必修1数学试题_第1页
1/4
高中数学 第3章 指数函数和对数函数 3.5.1 对数函数的概念 3.5.2 对数函数ylog2x的图像和性质课后篇巩固提升(含解析)北师大版必修1-北师大版高一必修1数学试题_第2页
2/4
高中数学 第3章 指数函数和对数函数 3.5.1 对数函数的概念 3.5.2 对数函数ylog2x的图像和性质课后篇巩固提升(含解析)北师大版必修1-北师大版高一必修1数学试题_第3页
3/4
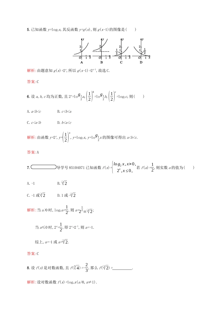
5.1对数函数的概念5.2对数函数y=log2x的图像和性质课后篇巩固提升1.下列各组函数中,表示同一函数的是()A.y=❑√x2和y=(❑√x)2B.|y|=|x|和y3=x3C.y=logax2和y=2logaxD.y=x和y=logaax解析:对于A,定义域不同;对于B,对应法则不同;对于C,定义域不同;对于D,y=logaax⇔y=x.答案:D2.若函数f(x)=ax(a>0,且a≠1)的反函数是g(x),且g(14)=-1,则f(-12)=()A.❑√2B.2C.12D.❑√22解析:由已知得g(x)=logax.又g(14)=loga14=-1,于是a=4,因此f(x)=4x,故f(-12)=4-12=12.答案:C3.已知函数f(x)=log2x,且f(m)>0,则m的取值范围是()A.(0,+∞)B.(0,1)C.(1,+∞)D.R解析:结合f(x)=log2x的图像(图略)可知,当f(m)>0时,m>1.答案:C4.设f(x)是奇函数,当x>0时,f(x)=log2x,则当x<0时,f(x)=()A.-log2xB.log2(-x)C.logx2D.-log2(-x)解析:设x<0,则-x>0,则f(-x)=log2(-x).∵f(x)是奇函数,∴f(-x)=-f(x).∴当x<0时,f(x)=-log2(-x).答案:D5.已知函数y=log2x,其反函数y=g(x),则g(x-1)的图像是()解析:由题意知g(x)=2x,所以g(x-1)=2x-1,故选C.答案:C6.设a,b,c均为正数,且2a=log12a,(12)b=log12b,(12)c=log2c,则()A.a0,2x,x≤0,若f(a)=12,则实数a的值为()A.-1B.❑√2C.-1或❑√2D.1或-❑√2解析:当a>0时,log2a=12,则a=212=❑√2;当a≤0时,2a=12,即2a=2-1,则a=-1.综上,a=-1或a=❑√2.答案:C8.设f(x)是对数函数,且f(3√4)=-23,那么f(❑√2)=.解析:设对数函数f(x)=logax(a>0,a≠1).由条件得loga3√4=-23,即loga223=-23,则a=12.因此f(x)=log12x.所以f(❑√2)=log12❑√2=log12(12)-12=-12.答案:-129.函数f(x)=log2x在区间[a,2a](a>0)上的最大值与最小值之差为.解析:∵f(x)=log2x在区间[a,2a]上是增加的,∴f(x)max-f(x)min=f(2a)-f(a)=log22a-log2a=1.答案:110.已知函数f(x)={log2x,x>0,3x,x≤0,直线y=a与函数f(x)的图像恒有两个不同的交点,则a的取值范围是.解析:如图所示,需使函数f(x)的图像与直线y=a恒有两个不同的交点,则a∈(0,1].答案:(0,1]11.导学号85104072已知函数f(x)=|log2x|.(1)若f(m)=3,求m的值;(2)若a≠b,且f(a)=f(b),求ab的值.解:(1)由f(m)=3,得|log2m|=3,即log2m=3或log2m=-3,解得m=8或m=18.(2)∵a≠b,且f(a)=f(b),不妨设a

1、当您付费下载文档后,您只拥有了使用权限,并不意味着购买了版权,文档只能用于自身使用,不得用于其他商业用途(如 [转卖]进行直接盈利或[编辑后售卖]进行间接盈利)。
2、本站所有内容均由合作方或网友上传,本站不对文档的完整性、权威性及其观点立场正确性做任何保证或承诺!文档内容仅供研究参考,付费前请自行鉴别。
3、如文档内容存在违规,或者侵犯商业秘密、侵犯著作权等,请点击“违规举报”。

碎片内容

高中数学 第3章 指数函数和对数函数 3.5.1 对数函数的概念 3.5.2 对数函数ylog2x的图像和性质课后篇巩固提升(含解析)北师大版必修1-北师大版高一必修1数学试题

您可能关注的文档

海博书城+ 关注
实名认证
内容提供者

从事历史教学,热爱教育,高度负责。

确认删除?
微信客服
  • 扫码咨询
会员Q群
  • 会员专属群点击这里加入QQ群