电脑桌面
添加小米粒文库到电脑桌面
安装后可以在桌面快捷访问

高考数学压轴题数列求和十种方法总结VIP免费

高考数学压轴题数列求和十种方法总结_第1页
1/24
高考数学压轴题数列求和十种方法总结_第2页
2/24
高考数学压轴题数列求和十种方法总结_第3页
3/24
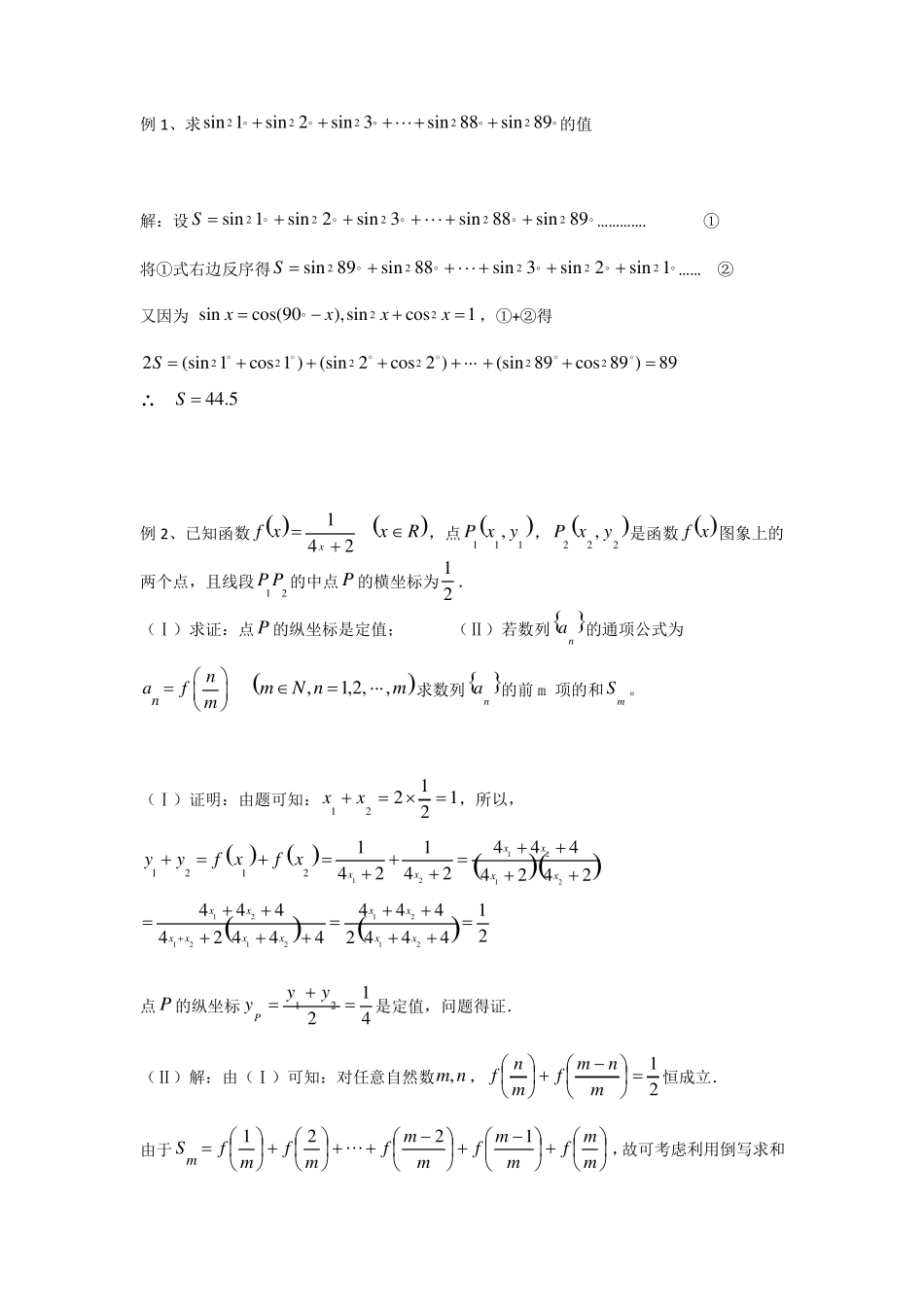
高考数学压轴题数列求和十种方法总结数列是高考数学的重要内容,其中数列的求和尤为重要,除了等差数列等比数列有各自的求和公式,其余数列的求和讲究一定的技巧。题型一、公式求和1、等差数列求和公式:S(a1an)nn2nan(n1)12dna1(q1)2、等比数列求和公式:Snna1(1q)a1q1anq1q(q1)n3、Snk1n(n1)k12n4、Snk21n(n1)(2n1)k165、S1nnk3[n(n1)]2k12例1、已知an是一个首项为a,公比为q(0q1)的等比数列,S22na21a2a3a2n(nN*)222(n解:由已知得a1naqn,a1)2n1aq2a22q2n2qnaa222n是首项为a,公比为q的等比数列。当q1时,S22na1a2a2nna2.a22n当q1时,S1[1(q2)n]a2(1qn1q2)1q2求例2、已知log3x解:由log3x123n,求xxxx的前n项和。log2311得log3xlog32,∴x,由等比数列求和公式得log232n11(1n)x(1x)22=11Snxx2x3xn==11x2n12*例3、设Sn123n,(nN),求f(n)Sn的最大值.(n32)Sn1解:由等差数列求和公式得Sn∴f(n)11n(n1),Sn1(n1)(n2)22Snn=2(n32)Sn1n34n64=1n3464n=(n18n)250150∴当n81,即n8时,f(n)max50n二、倒序相加法求和倒序相加法是推导等差数列的前n项和公式时所用的方法,就是将一个数列倒过来排列(反序),再把它与原数列相加,就可以得到n个(a1an)例1、求sin1sin2sin3sin88sin89的值解:设Ssin1sin2sin3sin88sin89………….①将①式右边反序得Ssin89sin88sin3sin2sin1……②又因为sinxcos(90x),sinxcosx1,①+②得222222222222222222S(sin21cos21)(sin22cos22)(sin289cos289)89∴S44.5例2、已知函数fx14x2xR,点P1x1,y1,P2x2,y2是函数fx图象上的1.2两个点,且线段P1P2的中点P的横坐标为(Ⅰ)求证:点P的纵坐标是定值;(Ⅱ)若数列an的通项公式为nanfmmN,n1,2,,m求数列an的前m项的和Sm。(Ⅰ)证明:由题可知:x1x2211,所以,2114x14x24y1y2fx1fx2x1x2x42424124x2244444414x1x224x14x2424x14x242y1y21是定值,问题得证.24x1x2x1x2点P的纵坐标yP(Ⅱ)解:由(Ⅰ)可知:对任意自然数m,n,fnmn1f恒成立.mm2由于Smf12m2m1m故可考虑利用倒写求和ffff,mmmmm的方法.即由于:12Smffmmmm1fffmmm2m1mfffmmm所以,m221ffmmm1m122Smfffmmm11m12f(1)3m126所以,Smm2fmm1fm1mf2fmm13m112例3.对于三次函数fxaxbxcxda0,给出定义:设f'x是函数32yfx的导数,fx是f'x的导数,若方程fx0有实数解x0,则称点x,fx为函数yfx的“拐点”.经过探究发现:任何一个三次函数都有“拐点”;00任何一个三次函数都有对称中心,且“拐点”就是对称中心.设函数115122018gggxx3x23x,则g()2019201920193212A.2016分析:13125函数gxxx3x,3212B.2017C.2018D.2019函数的导数g'xxx3,g'x2x1,2由g'x00得2x010,解得x011,而g1,221故函数gx关于点,1对称,2gxg1...

1、当您付费下载文档后,您只拥有了使用权限,并不意味着购买了版权,文档只能用于自身使用,不得用于其他商业用途(如 [转卖]进行直接盈利或[编辑后售卖]进行间接盈利)。
2、本站所有内容均由合作方或网友上传,本站不对文档的完整性、权威性及其观点立场正确性做任何保证或承诺!文档内容仅供研究参考,付费前请自行鉴别。
3、如文档内容存在违规,或者侵犯商业秘密、侵犯著作权等,请点击“违规举报”。

碎片内容

高考数学压轴题数列求和十种方法总结

爱的疯狂+ 关注
实名认证
内容提供者

该用户很懒,什么也没介绍

确认删除?
VIP
微信客服
  • 扫码咨询
会员Q群
  • 会员专属群点击这里加入QQ群
客服邮箱
回到顶部