电脑桌面
添加小米粒文库到电脑桌面
安装后可以在桌面快捷访问

圆锥曲线大题之定点问题VIP免费

圆锥曲线大题之定点问题_第1页
1/5
圆锥曲线大题之定点问题_第2页
2/5
圆锥曲线大题之定点问题_第3页
3/5
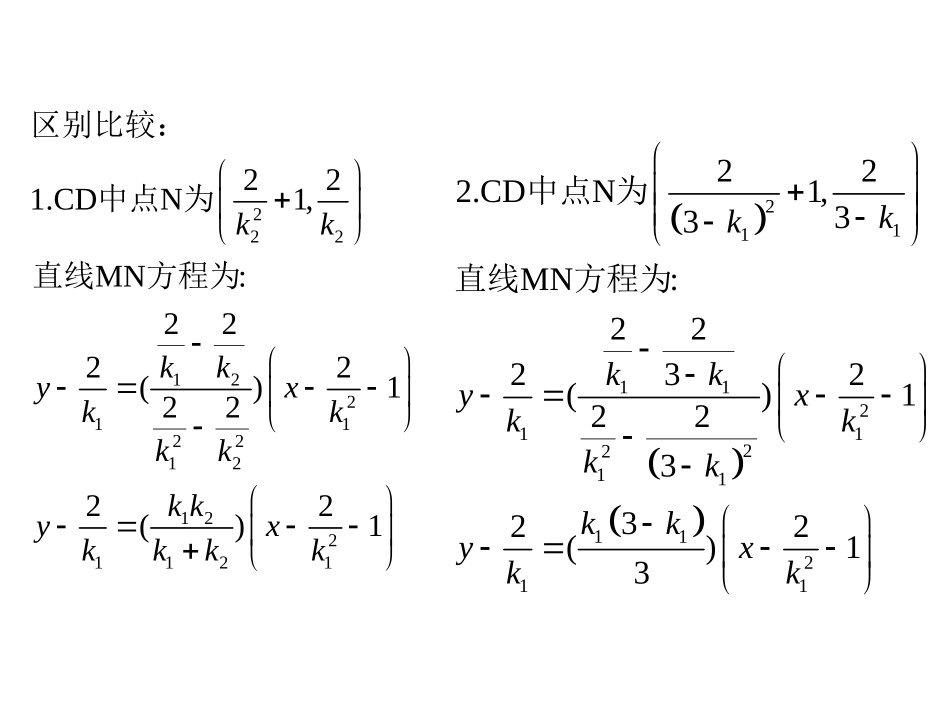
圆锥曲线大题----定点问题:作业本第二题11221112112211::1=44404422M1,lykxyxkyykyykyyABkk必写步骤设直线与抛物线联立方程,得:韦达定理得:中点为2221221122121221121221.CDN1,MN:2222()12222()1kkkkyxkkkkkkyxkkkk区别比较:中点为直线方程为21111211221111211222.CDN1,33MN:22322()1223322()13kkkkyxkkkkkkyxkk中点为直线方程为作业本第一题:22:y=4x4400,1lykxbkyybkb设直线与联立方程得:得:1212212A,,22xxyykk切点为1-1-Bkk为,作业本第三题:0022020-228881606432(2)0xykxxxykxkxkkx设Q为,,切线方程为:与联立方程得:x

1、当您付费下载文档后,您只拥有了使用权限,并不意味着购买了版权,文档只能用于自身使用,不得用于其他商业用途(如 [转卖]进行直接盈利或[编辑后售卖]进行间接盈利)。
2、本站所有内容均由合作方或网友上传,本站不对文档的完整性、权威性及其观点立场正确性做任何保证或承诺!文档内容仅供研究参考,付费前请自行鉴别。
3、如文档内容存在违规,或者侵犯商业秘密、侵犯著作权等,请点击“违规举报”。

碎片内容

圆锥曲线大题之定点问题

您可能关注的文档

百万精品文库+ 关注
实名认证
内容提供者

学习课件教案小学中学资料大全

相关文档

确认删除?
VIP
微信客服
  • 扫码咨询
会员Q群
  • 会员专属群点击这里加入QQ群
客服邮箱
回到顶部