电脑桌面
添加小米粒文库到电脑桌面
安装后可以在桌面快捷访问

八年级数学《分式》单元检测习题VIP免费

八年级数学《分式》单元检测习题_第1页
1/4
八年级数学《分式》单元检测习题_第2页
2/4
八年级数学《分式》单元检测习题_第3页
3/4
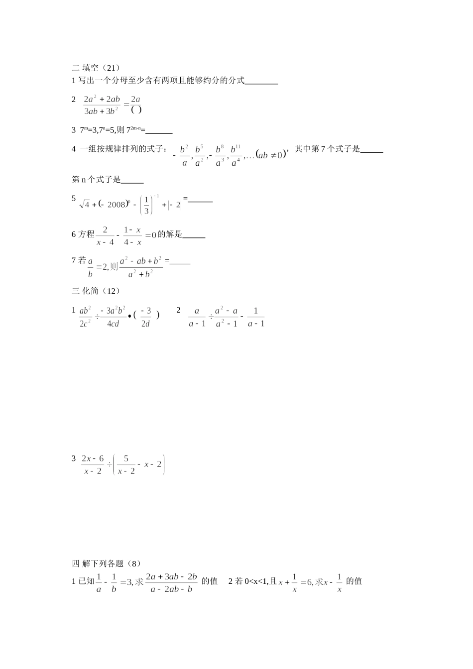
初二数学检测题-分式姓名一选择(36分)1下列运算正确的是()A-40=1B(-3)-1=C(-2m-n)2=4m-nD(a+b)-1=a-1+b-12分式的最简公分母是()A72xyz2B108xyzC72xyzD96xyz23用科学计数法表示的树-3.6×10-4写成小数是()A0.00036B-0.0036C-0.00036D-360004如果把分式中的x,y都扩大3倍,那么分式的值()A扩大3倍B不变C缩小3倍D扩大2倍5若分式的值为0,则x的值为()A2B-2C2或-2D2或36计算的结果是()A1Bx+1CD7工地调来72人参加挖土和运土,已知3人挖出的土1人恰好能全部运走,怎样调动劳动力才能使挖出的土能及时运走,解决此问题,可设派x人挖土,其它的人运土,列方程①②72-x=③x+3x=72④上述所列方程,正确的有()个A1B2C3D48在中,分式的个数是()A2B3C4D59若分式方程有增根,则a的值是()A-1B0C1D210若的值是()A-2B2C3D-311把分式方程,的两边同时乘以x-2,约去分母,得()A1-(1-x)=1B1+(1-x)=1c1-(1-x)=x-2D1+(1-x)=x-212已知,则直线y=kx+2k一定经过()A第1、2象限B第2、3象限C第3、4象限D第1、4象限二填空(21)1写出一个分母至少含有两项且能够约分的分式237m=3,7n=5,则72m-n=4一组按规律排列的式子:,其中第7个式子是第n个式子是5=6方程的解是7若=三化简(12)123四解下列各题(8)1已知的值2若0

1、当您付费下载文档后,您只拥有了使用权限,并不意味着购买了版权,文档只能用于自身使用,不得用于其他商业用途(如 [转卖]进行直接盈利或[编辑后售卖]进行间接盈利)。
2、本站所有内容均由合作方或网友上传,本站不对文档的完整性、权威性及其观点立场正确性做任何保证或承诺!文档内容仅供研究参考,付费前请自行鉴别。
3、如文档内容存在违规,或者侵犯商业秘密、侵犯著作权等,请点击“违规举报”。

碎片内容

八年级数学《分式》单元检测习题

您可能关注的文档

百万精品文库+ 关注
实名认证
内容提供者

学习课件教案小学中学资料大全

相关文档

确认删除?
微信客服
  • 扫码咨询
会员Q群
  • 会员专属群点击这里加入QQ群