电脑桌面
添加小米粒文库到电脑桌面
安装后可以在桌面快捷访问

专题十一函数及其图像VIP免费

专题十一函数及其图像_第1页
1/10
专题十一函数及其图像_第2页
2/10
专题十一函数及其图像_第3页
3/10
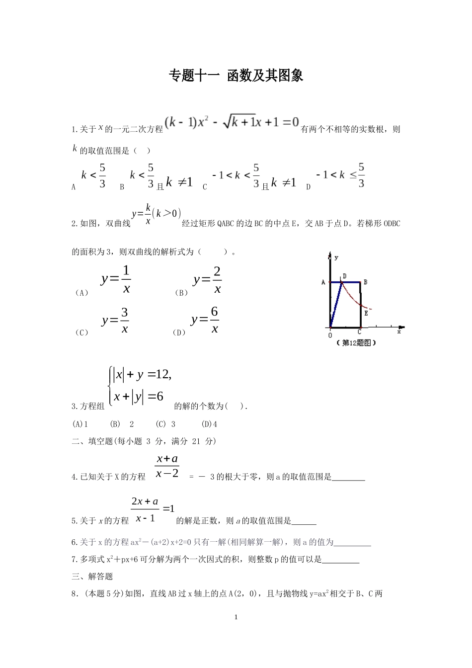
专题十一函数及其图象1.关于的一元二次方程有两个不相等的实数根,则的取值范围是()AB且C且D2.如图,双曲线y=kx(k>0)经过矩形QABC的边BC的中点E,交AB于点D。若梯形ODBC的面积为3,则双曲线的解析式为()。(A)y=1x(B)y=2x(C)y=3x(D)y=6x3.方程组12,6xyxy的解的个数为().(A)1(B)2(C)3(D)4二、填空题(每小题3分,满分21分)4.已知关于X的方程x+ax−2=-3的根大于零,则a的取值范围是5.关于x的方程的解是正数,则a的取值范围是6.关于x的方程ax2-(a+2)x+2=0只有一解(相同解算一解),则a的值为7.多项式x2+px+6可分解为两个一次因式的积,则整数p的值可以是三、解答题8.(本题5分)如图,直线AB过x轴上的点A(2,0),且与抛物线y=ax2相交于B、C两1图9BCOyxA点,B点坐标为(1,1)。(1)求直线和抛物线所表示的函数表达式;(2)在抛物线上是否存在一点D,使得S△OAD=S△OBC,若不存在,说明理由;若存在,请求出点D的坐标。9.如图,抛物线与轴交于、两点(点在点的左侧),抛物线上另有一点在第一象限,满足∠为直角,且恰使△∽△。(1)求线段的长。(2)求该抛物线的函数关系式。(3)在轴上是否存在点,使△为等腰三角形?若存在,求出所有符合条件的点的坐标;若不存在,请说明理由。10.(本题5分)心理学家发现,学生对概念的接受能力y与提出概念所用的时间x(单位:分)之间满足函数关系:y=-0.1x2+2.6x+43(0<x<30)。y值越大,表示接受能力越强。(1)x在什么范围内,学生的接受能力逐步增强?x在什么范围内,学生的接受能力逐步降低?(2)第10分时,学生的接受能力是什么?(3)第几分时,学生的接受能力最强?(4)结合本题针对自己的学习情况有何感受?211.(本题6分)某商店经销一种销售成本为每千克40元的水产品.据市场分析,若按每千克50元销售,一个月能售出500千克;销售单价每涨1元,月销售量就减少10千克.针对这种水产品的销售情况,请解答以下问题:(1)当销售单价定为每千克55元时,计算月销售量和月销售利润;(2)设销售单价为每千克x元,月销售利润为y元,求y与x的函数关系式(不必写出x的取值范围);(3)商店想在月销售成本不超过10000元的情况下,使得月销售利润达到8000元,销售单价应定为多少?12(本题6分)某大型超市元旦假期举行促销活动,规定一次购物不超过100元的不给优惠;超过100元而不超过300时,按该次购物全额9折优惠;超过300元的其中300元仍按9折优惠,超过部分按8折优惠.小美两次购物分别用了94.5元和282.8元,现小丽决定一次购买小美分两次购买的同样的物品,则小丽应该付款多少元?13.解方程√x+1+√x−1−√x2−1=x.14.(本题7分)求方程x2+y2-4x+10y+16=0的整数解315.(本题7分)已知首项系数不相等的两个方程:(a-1)x2-(a2+2)x+(a2+2a)=0和(b-1)x2-(b2+2)x+(b2+2b)=0(其中a,b为正整数)有一个公共根.求a,b的值.16.(本题8分)已知关于x的方程(k+1)x2+(3k-1)x+2k-2=0.(1)讨论此方程根的情况;(2)若方程有两个整数根,求正整数k的值;(3)若抛物线y=(k+1)x2+(3k-1)x+2k-2与x轴的两个交点之间的距离为3,求k的值.参考答案一、1.C2.B3.若x≥0,则12,6,xyxy于是6yy,显然不可能.若0x,则12,6,xyxy于是18yy,解得9y,进而求得3x.所以,原方程组的解为,9,3yx只有1个解.故选(A).[点评]解决多元方程、多变量问题的基本方法是消元.本题为消元,果断地对的符4号展开讨论,去掉中的绝对值符号.二.4.a<6且a≠-25.答案:a<-1且a≠-2(要考虑分母不能为0)6.答案:a=0或a=2.7.5和-5,或7和-7三8、(1)设直线表达式为y=ax+b. A(2,0),B(1,1)都在y=ax+b的图象上,∴{0=2a+b,¿¿¿¿∴∴直线AB的表达式y=-x+2. 点B(1,1)在y=ax2的图象上,∴a=1,其表达式为y=x2.(2)存在。点C坐标为(-2,4),设D(x,x2).∴S△OAD=|OA|·|yD|=12×2·x2=x2.∴S△BOC=S△AOC-S△OAB=×2×4-12×2×1=3. S△BOC=S△OAD,∴x2=3,即x=±.∴D点坐标为(-√3,3)或(,3).9解:(1)由ax2-8ax+12a=0(a<0)得x1=2,x2=6.A、B两点坐标分别为:(2,0),...

1、当您付费下载文档后,您只拥有了使用权限,并不意味着购买了版权,文档只能用于自身使用,不得用于其他商业用途(如 [转卖]进行直接盈利或[编辑后售卖]进行间接盈利)。
2、本站所有内容均由合作方或网友上传,本站不对文档的完整性、权威性及其观点立场正确性做任何保证或承诺!文档内容仅供研究参考,付费前请自行鉴别。
3、如文档内容存在违规,或者侵犯商业秘密、侵犯著作权等,请点击“违规举报”。

碎片内容

专题十一函数及其图像

您可能关注的文档

精品文档+ 关注
实名认证
内容提供者

中小学学习资料大全

相关文档

确认删除?
VIP
微信客服
  • 扫码咨询
会员Q群
  • 会员专属群点击这里加入QQ群
客服邮箱
回到顶部