电脑桌面
添加小米粒文库到电脑桌面
安装后可以在桌面快捷访问

(课标版)2013年高考数学-原创预测题-专题一-集合、常用逻辑用语、不等式、函数与导数-理VIP免费

(课标版)2013年高考数学-原创预测题-专题一-集合、常用逻辑用语、不等式、函数与导数-理_第1页
1/11
(课标版)2013年高考数学-原创预测题-专题一-集合、常用逻辑用语、不等式、函数与导数-理_第2页
2/11
(课标版)2013年高考数学-原创预测题-专题一-集合、常用逻辑用语、不等式、函数与导数-理_第3页
3/11
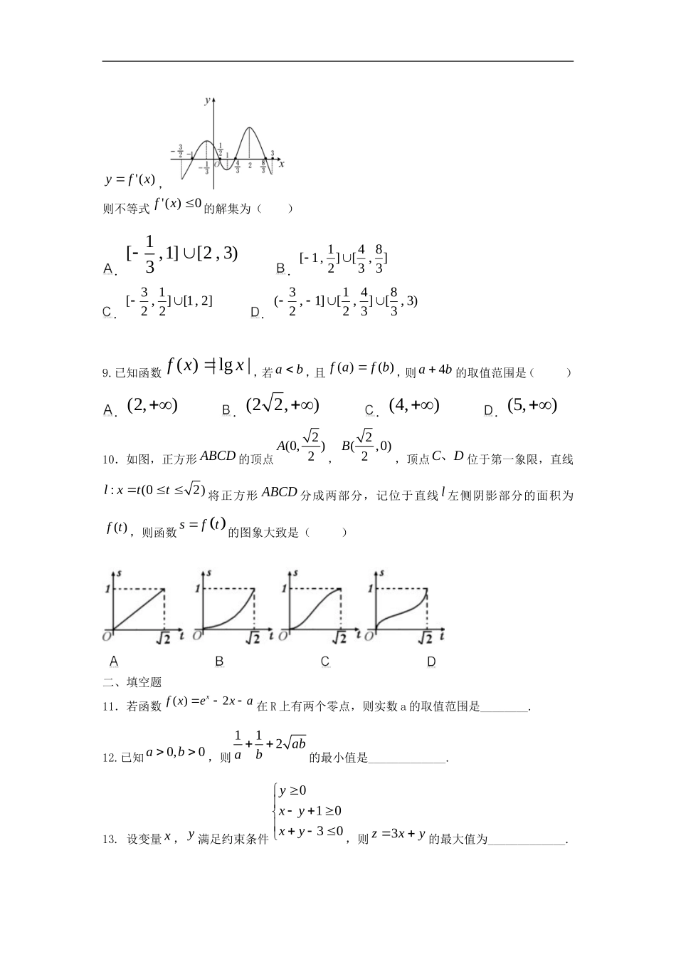
专题一:集合、常用逻辑用语、不等式、函数与导数(新课标理)一、选择题1.已知集合},1|{2RxxyyM,}2|{2xyxN,则NM().),1[.]2,1[.),2[.2.命题“存在04,2aaxxRx使为假命题”是命题“016a”的().充要条件.必要不充分条件.充分不必要条件.既不充分也不必要条件3.设554alog4blogclog25,(3),,则().bca.acb.cba.cab4.曲线21xyxex在点(0,1)处的切线方程为().13xy.31yx.22xy.22xy5.已知函数()logxafxax(0a且1)a在[1,2]上的最大值与最小值之和为log26a,则a的值为().12.14.2.46.求曲线2yx与yx所围成图形的面积,其中正确的是().120()dSxxx.120()dSxxx.120()dSyyy.10()dSyyy7.设函数32()logxfxax在区间(1,2)内有零点,则实数a的取值范围是().3(1,log2).3(0,log2).3(log2,1).3(1,log4)8.函数)(xfy在定义域(3,23)内可导,其图象如图所示,记)(xfy的导函数为)('xfy,则不等式0)('xf的解集为().1[,1][2,3)3.]38,34[]21,1[.]2,1[]21,23[.)3,38[]34,21[]1,23(9.已知函数()|lg|fxx,若ba,且)()(bfaf,则ba4的取值范围是().(2,).(22,).(4,).(5,)10.如图,正方形ABCD的顶点2(0,)2A,2(,0)2B,顶点CD、位于第一象限,直线:(02)lxtt将正方形ABCD分成两部分,记位于直线l左侧阴影部分的面积为()ft,则函数sft的图象大致是()二、填空题11.若函数()2xfxexa在R上有两个零点,则实数a的取值范围是________.12.已知0,0ab,则112abab的最小值是_____________.13.设变量x,y满足约束条件01030yxyxy,则yxz3的最大值为_____________.14.定义在R上的函数()yfx是减函数,且函数(1)yfx的图象关于(1,0)成中心对称,若s,t满足不等式22(2)(2)fssftt≤,则当14s≤≤时,ts的取值范围是___________.三、解答题15.设函数xexxf221)(.(I)求函数)(xf的单调区间;(II)若当2,2x时,不等式mxf)(恒成立,求实数m的取值范围.16.已知函数.ln)(xaxxf(I)求函数)(xf的单调增区间;(II)若函数aexf求实数上的最小值为在,23],1[)(的值.17.已知函数xaxxf1ln)(,Ra.(Ⅰ)求)(xf的极值;(Ⅱ)若0lnkxx在),0(上恒成立,求k的取值范围;(Ⅲ)已知01x,02x,且exx21,求证:2121xxxx.18.已知函数(1)()ln.1axfxxx(Ⅰ)若函数()(0,)fx在上为单调增函数,求a的取值范围;(Ⅱ)设,,,:.lnln2mnmnmnmnmn为正实数且求证19.已知函数)1ln()ln(1)ln()(xaxxaxxf,),0(Raa.(Ⅰ)求函数()fx的定义域;(Ⅱ)求函数()fx的单调区间;(Ⅲ)当a>0时,若存在x使得()ln(2)fxa成立,求a的取值范围.20.已知函数221()ln(1),().1fxxgxax(Ⅰ)求()gx在(2,(2))Pg处的切线方程;l(Ⅱ)若()fx的一个极值点到直线l的距离为1,求a的值;(Ⅲ)求方程()()fxgx的根的个数.答案解析(专题一)1.选.由题意得}1|{yyM,}22|{xxN,所以NM]2,1[.2.选.依题意,“存在04,2aaxxRx使为假命题”得2160aa,解得016a,所以命题“存在04,2aaxxRx使为假命题”是命题“016a”的充要条件.3.选,由对数函数5logyx的图象,可得550log3log41,255(log3)log4ba,又因为4log51,cbac.4.选.2'xxxeey,切线斜率3200ek,所以切线方程为xy31,即31yx.5.选.依题意,函数()logxafxax(0a且1)a在[1,2]上具有相同的单调性,因此62log2log2aaaa,解得2a(3-a舍去).6.选.两函数图象的交点坐标是(0,0),(1,1),故积分上限是1,下限是0,由于在0,1上,2xx,故曲线2yx与yx所围成图形的面积120()dSxxx。7.选.32()log1fxax在(1,2)上是减函数,由题设有(1)0,(2)0ff,解得a∈3(log2,1).8....

1、当您付费下载文档后,您只拥有了使用权限,并不意味着购买了版权,文档只能用于自身使用,不得用于其他商业用途(如 [转卖]进行直接盈利或[编辑后售卖]进行间接盈利)。
2、本站所有内容均由合作方或网友上传,本站不对文档的完整性、权威性及其观点立场正确性做任何保证或承诺!文档内容仅供研究参考,付费前请自行鉴别。
3、如文档内容存在违规,或者侵犯商业秘密、侵犯著作权等,请点击“违规举报”。

碎片内容

(课标版)2013年高考数学-原创预测题-专题一-集合、常用逻辑用语、不等式、函数与导数-理

您可能关注的文档

中小学文库+ 关注
实名认证
内容提供者

精品资料应用尽有

确认删除?
VIP
微信客服
  • 扫码咨询
会员Q群
  • 会员专属群点击这里加入QQ群
客服邮箱
回到顶部