电脑桌面
添加小米粒文库到电脑桌面
安装后可以在桌面快捷访问

高考数学二轮复习题型专项练压轴题提分练四文VIP免费

高考数学二轮复习题型专项练压轴题提分练四文_第1页
1/3
高考数学二轮复习题型专项练压轴题提分练四文_第2页
2/3
高考数学二轮复习题型专项练压轴题提分练四文_第3页
3/3
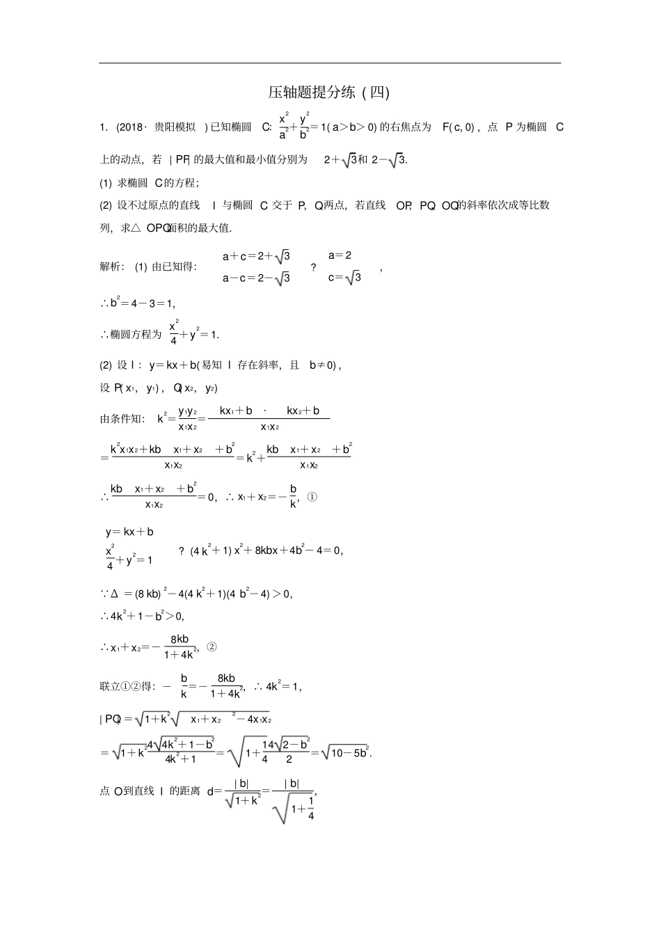
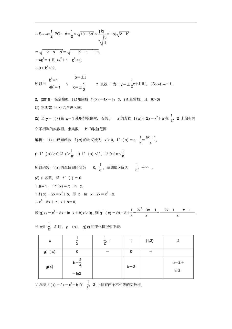
压轴题提分练(四)1.(2018·贵阳模拟)已知椭圆C:x2a2+y2b2=1(a>b>0)的右焦点为F(c,0),点P为椭圆C上的动点,若|PF|的最大值和最小值分别为2+3和2-3.(1)求椭圆C的方程;(2)设不过原点的直线l与椭圆C交于P,Q两点,若直线OP,PQ,OQ的斜率依次成等比数列,求△OPQ面积的最大值.解析:(1)由已知得:a+c=2+3a-c=2-3?a=2c=3,∴b2=4-3=1,∴椭圆方程为x24+y2=1.(2)设l:y=kx+b(易知l存在斜率,且b≠0),设P(x1,y1),Q(x2,y2)由条件知:k2=y1y2x1x2=kx1+b·kx2+bx1x2=k2x1x2+kbx1+x2+b2x1x2=k2+kbx1+x2+b2x1x2∴kbx1+x2+b2x1x2=0,∴x1+x2=-bk,①y=kx+bx24+y2=1?(4k2+1)x2+8kbx+4b2-4=0,∵Δ=(8kb)2-4(4k2+1)(4b2-4)>0,∴4k2+1-b2>0,∴x1+x2=-8kb1+4k2,②联立①②得:-bk=-8kb1+4k2,∴4k2=1,|PQ|=1+k2x1+x22-4x1x2=1+k244k2+1-b24k2+1=1+1442-b22=10-5b2.点O到直线l的距离d=|b|1+k2=|b|1+14,∴S△OPQ=12|PQ|·d=12×10-5b2×|b|54=|b|2-b2=2-b2b2=-b2-12+1.∵4k2=1且4k2+1-b2>0,∴0<b2<2,所以当b2=14k2=1?b=±1k=±12?直线l为:y=±12x±1时,(S△OPQ)max=1.2.(2018·保定模拟)已知函数f(x)=ax-lnx.(a是常数,且a>0)(1)求函数f(x)的单调区间;(2)当y=f(x)在x=1处取得极值时,若关于x的方程f(x)+2x=x2+b在12,2上恰有两个不相等的实数根,求实数b的取值范围.解析:(1)由已知函数f(x)的定义域为x>0,f′(x)=a-1x=ax-1x,由f′(x)>0得x>1a,由f′(x)<0,得0<x<1a.所以函数f(x)的单调减区间为0,1a,单调增区间为1a,+∞.(2)由题意,得f′(1)=0.∴a=1,∴f(x)=x-lnx,∴f(x)+2x=x2+b,即x-lnx+2x=x2+b.∴x2-3x+lnx+b=0,设g(x)=x2-3x+lnx+b(x>0),则g′(x)=2x-3+1x=2x2-3x+1x=2x-1x-1x.当x∈12,2时,g′(x),g(x)的变化情况如下表:x1212,11(1,2)2g′(x)0-0+g(x)b-54-ln2b-2b-2+ln2∵方程f(x)+2x=x2+b在12,2上恰有两个不相等的实数根,∴g12≥0g1<0,g2≥0∴b-54-ln2≥0b-2<0b-2+ln2≥0,∴54+ln2≤b<2即b∈54+ln2,2.

1、当您付费下载文档后,您只拥有了使用权限,并不意味着购买了版权,文档只能用于自身使用,不得用于其他商业用途(如 [转卖]进行直接盈利或[编辑后售卖]进行间接盈利)。
2、本站所有内容均由合作方或网友上传,本站不对文档的完整性、权威性及其观点立场正确性做任何保证或承诺!文档内容仅供研究参考,付费前请自行鉴别。
3、如文档内容存在违规,或者侵犯商业秘密、侵犯著作权等,请点击“违规举报”。

碎片内容

高考数学二轮复习题型专项练压轴题提分练四文

爱的疯狂+ 关注
实名认证
内容提供者

该用户很懒,什么也没介绍

确认删除?
VIP
微信客服
  • 扫码咨询
会员Q群
  • 会员专属群点击这里加入QQ群
客服邮箱
回到顶部