电脑桌面
添加小米粒文库到电脑桌面
安装后可以在桌面快捷访问

一类数列递推公式的通项求法VIP免费

一类数列递推公式的通项求法_第1页
1/3
一类数列递推公式的通项求法_第2页
2/3
一类数列递推公式的通项求法_第3页
3/3
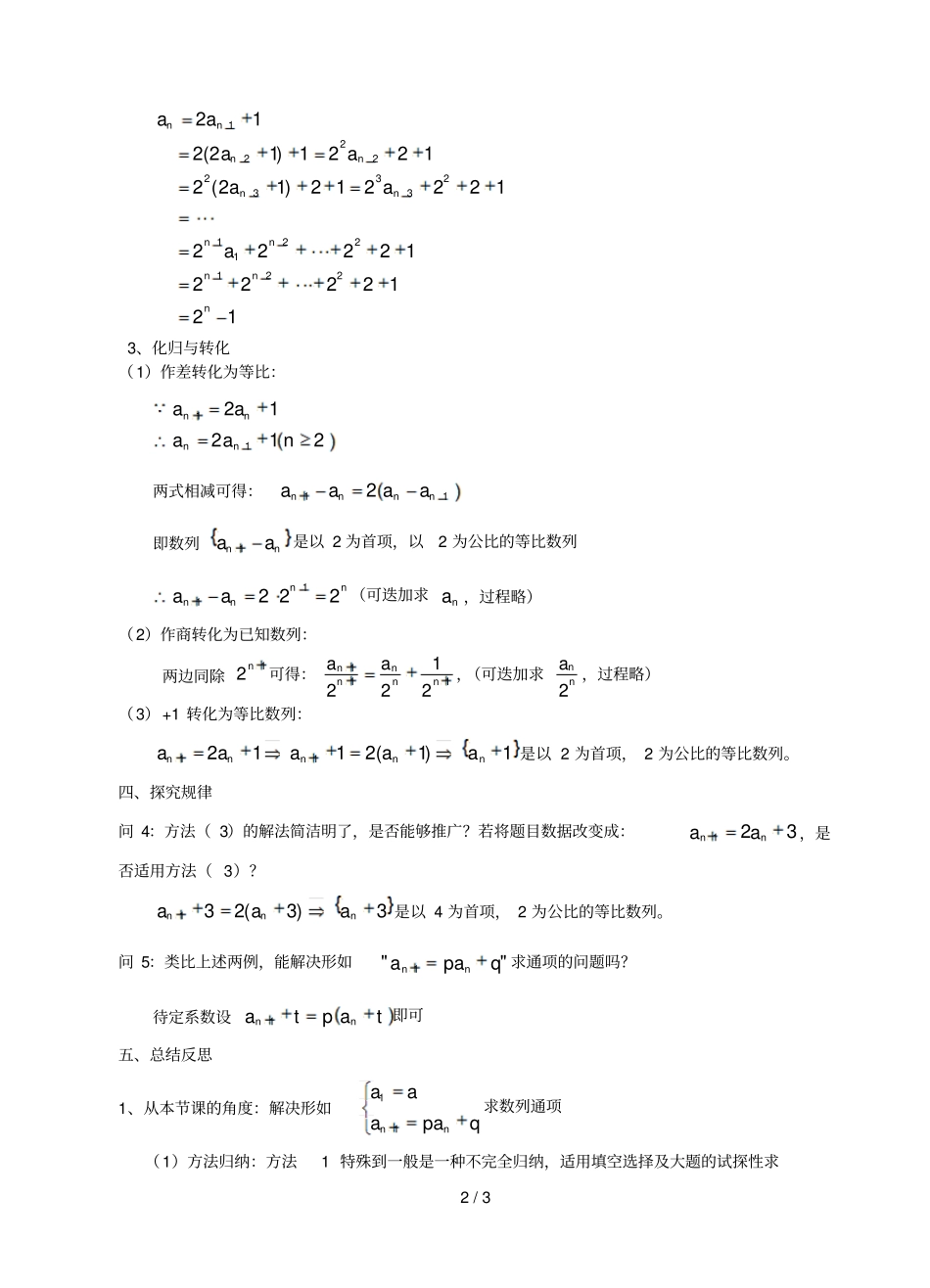
1/3一类数列递推公式的通项求法武岭中学毛敏君一、情境创设:汉诺塔游戏汉诺塔问题是指有三根杆子和套在一根杆子上的若干大小不等的碟片.按下列规则,把碟片从一根杆子上全部移到另一根杆子上.1.每次只能移动1个碟片;2.较大的碟片不能放在较小的碟片上面.如图所示,将B杆上所有碟片移到A杆上,C杆可以作为过渡杆使用,称将碟片从一个杆子移动到另一个杆子为移动一次,记将B杆子上的n个碟片移动到A杆上最少需要移动na次.求数列na的通项公式;由题意可知:11a,1212aa,⋯,121nnaa即已知11211aaann,求na。二、回顾分析:问1:我们能求哪些数列的通项公式?对应的方法又是什么?1、已知特殊数列的前几项,求其中一个通项:观察法;2、已知等差数列求通项:迭加法、迭代法;3、已知等比数列求通项:迭乘法、迭代法;问2:解决数列问题的基本思路与方法是什么?(运用代数运算,如减法、除法等)问3:能运用上述方法解决今天的问题吗?三、探究解题1、从特殊到一般:11a,32a,73a,154a,12nna;2、迭代法:ABC2/3121222212222122212)12(21221)12(2122212211233322221nnnnnnnnnnnaaaaaaa3、化归与转化(1)作差转化为等比:2121211naaaannnn两式相减可得:112nnnnaaaa即数列nnaa1是以2为首项,以2为公比的等比数列nnnnaa22211(可迭加求na,过程略)(2)作商转化为已知数列:两边同除12n可得:1112122nnnnnaa,(可迭加求nna2,过程略)(3)+1转化为等比数列:121nnaa)1(211nnaa1na是以2为首项,2为公比的等比数列。四、探究规律问4:方法(3)的解法简洁明了,是否能够推广?若将题目数据改变成:321nnaa,是否适用方法(3)?)3(231nnaa3na是以4为首项,2为公比的等比数列。问5:类比上述两例,能解决形如""1qpaann求通项的问题吗?待定系数设taptann1即可五、总结反思1、从本节课的角度:解决形如qpaaaann11求数列通项(1)方法归纳:方法1特殊到一般是一种不完全归纳,适用填空选择及大题的试探性求3/3解;迭代法与化归转化都是通法,适合一般解题;(2)方法优化:综合而看,转化中的方法(3)简洁明了,最适合解题,故此类问题基本用此法解决;2、从本章的角度:解决一个问题,纵向可特殊化或一般化;横向可类比转化为已知问题。六:巩固拓展:1、已知数列na满足11,1naa322nnaa求通项na;2、若本递推式改为nfpaaaann11,该如何解决?例如:已知数列na满足232,111naaann,求通项na;已知数列na满足21132,1nnnaaa,求通项na;七、作业布置:思考上述第2题

1、当您付费下载文档后,您只拥有了使用权限,并不意味着购买了版权,文档只能用于自身使用,不得用于其他商业用途(如 [转卖]进行直接盈利或[编辑后售卖]进行间接盈利)。
2、本站所有内容均由合作方或网友上传,本站不对文档的完整性、权威性及其观点立场正确性做任何保证或承诺!文档内容仅供研究参考,付费前请自行鉴别。
3、如文档内容存在违规,或者侵犯商业秘密、侵犯著作权等,请点击“违规举报”。

碎片内容

一类数列递推公式的通项求法

您可能关注的文档

文库当当响+ 关注
实名认证
内容提供者

该用户很懒,什么也没介绍

相关文档

确认删除?
VIP
微信客服
  • 扫码咨询
会员Q群
  • 会员专属群点击这里加入QQ群
客服邮箱
回到顶部