电脑桌面
添加小米粒文库到电脑桌面
安装后可以在桌面快捷访问

河南省洛阳市第一高级中学高三数学第六、第七、第八周周练-理(无答案)VIP免费

河南省洛阳市第一高级中学高三数学第六、第七、第八周周练-理(无答案)_第1页
1/4
河南省洛阳市第一高级中学高三数学第六、第七、第八周周练-理(无答案)_第2页
2/4
河南省洛阳市第一高级中学高三数学第六、第七、第八周周练-理(无答案)_第3页
3/4
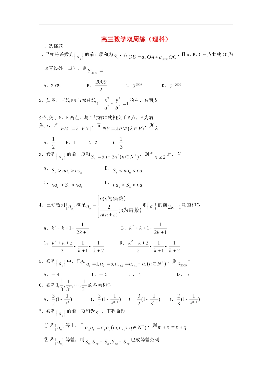
高三数学双周练(理科)一、选择题1、已知等差数列的前n项和为,若,且A、B、C三点共线(O为该直线外一点),则A、2009B、C、D、2、如图,直线MN与双曲线的左、右两支分别交于M、N两点,与C的右准线相交于P点,F为右焦点,若,又,则=A、B、1C、2D、3、数列的前n项和,则当时,有A、B、C、D、4、已知数列满足则的前项的和为A、B、C、D、5、数列中,已知,则=A、-4B、-5C、4D、56、数列的各项和为A、B、C、D、7、数列的前n项和为,下列命题①若等比,且,则②若等差,则也成等差数列③若等比,则也成等比数列④若等比,则数列可能是等差数列正确命题是A、②④B、③④C、①②③D、①②③④8、一个等差数列中,若是一个与n无关的常数,则这个常数的取值集合是A、B、C、D、9、设且,则=A、B、C、D、10、用n个不同的实数可得n!个不同的排列,每个排列为一行写成一个n!行的数阵,对第i行,记,那么在用1,2,3,4,5形成的数阵中,=A、―3600B、1800C、―1080D、-720高三数学双周练答题卷(理科)班级________________姓名________________分数______________一、选择题题号12345678910答案二、填空题11、是等差数列,是其前n项和,若,则n的值是_________________.12、等差,,则使前n项和成立的最大自然数n是___________。13、△ABC是椭圆的内接三角形,焦点分别在边AB、AC上,则的最小值是______________。14、数列、满足:记前n项和为,则_________________三、解答题15、已知数列前n项和(1)求与关系(2)求16、已知数列的首项,设,且平行(1)证明:数列是等比数列(2)证明:17、数列中,,且点在直线上(1)设,求证:是等比数列(2)设,求通项公式(3)Tn是前n项和,试比较2Tn与的大小

1、当您付费下载文档后,您只拥有了使用权限,并不意味着购买了版权,文档只能用于自身使用,不得用于其他商业用途(如 [转卖]进行直接盈利或[编辑后售卖]进行间接盈利)。
2、本站所有内容均由合作方或网友上传,本站不对文档的完整性、权威性及其观点立场正确性做任何保证或承诺!文档内容仅供研究参考,付费前请自行鉴别。
3、如文档内容存在违规,或者侵犯商业秘密、侵犯著作权等,请点击“违规举报”。

碎片内容

河南省洛阳市第一高级中学高三数学第六、第七、第八周周练-理(无答案)

您可能关注的文档

确认删除?
VIP
微信客服
  • 扫码咨询
会员Q群
  • 会员专属群点击这里加入QQ群
客服邮箱
回到顶部