电脑桌面
添加小米粒文库到电脑桌面
安装后可以在桌面快捷访问

八年级数学分式的乘除法测试题VIP免费

八年级数学分式的乘除法测试题_第1页
1/5
八年级数学分式的乘除法测试题_第2页
2/5
八年级数学分式的乘除法测试题_第3页
3/5
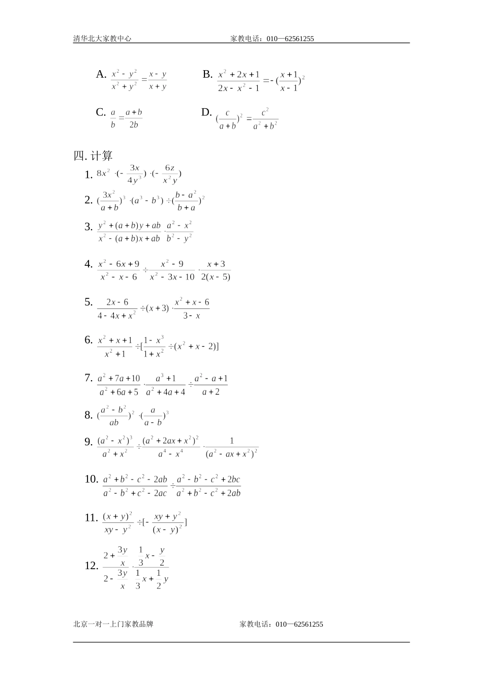
清华北大家教中心家教电话:010—62561255一.填空题1.约分:;;(n为正整数)2.计算:;;;;;。二.判断题下列运算正确的打“√”,错误的打“×”:1.()2.()3.()4.(n为正整数)()5.()三.选择题1.已知,则分式的值是()A.B.C.D.2.在分式,,,,中,最简分式有()A.1个B.2个C.3个D.4个3.下列各式正确的是()北京一对一上门家教品牌家教电话:010—62561255清华北大家教中心家教电话:010—62561255A.B.C.D.四.计算1.2.3.4.5.6.7.8.9.10.11.12.北京一对一上门家教品牌家教电话:010—62561255清华北大家教中心家教电话:010—6256125513.14.15.16.,其中,。北京一对一上门家教品牌家教电话:010—62561255清华北大家教中心家教电话:010—62561255【试题答案】一.1.;;2.;;;;二.1.×2.×3.×4.×5.√三.1.C2.B3.B四.1.解:原式2.解:原式3.解:原式4.解:原式5.解:原式6.解:原式7.解:原式8.解:原式9.解:原式10.解:原式北京一对一上门家教品牌家教电话:010—62561255清华北大家教中心家教电话:010—6256125511.解:原式12.解:原式13.解:原式14.解:原式15.解:原式16.解:原式当,时,原式∴代数式的值为0北京一对一上门家教品牌家教电话:010—62561255

1、当您付费下载文档后,您只拥有了使用权限,并不意味着购买了版权,文档只能用于自身使用,不得用于其他商业用途(如 [转卖]进行直接盈利或[编辑后售卖]进行间接盈利)。
2、本站所有内容均由合作方或网友上传,本站不对文档的完整性、权威性及其观点立场正确性做任何保证或承诺!文档内容仅供研究参考,付费前请自行鉴别。
3、如文档内容存在违规,或者侵犯商业秘密、侵犯著作权等,请点击“违规举报”。

碎片内容

八年级数学分式的乘除法测试题

您可能关注的文档

精品中小学文档+ 关注
实名认证
内容提供者

精品资料,值得下载

确认删除?
VIP
微信客服
  • 扫码咨询
会员Q群
  • 会员专属群点击这里加入QQ群
客服邮箱
回到顶部