电脑桌面
添加小米粒文库到电脑桌面
安装后可以在桌面快捷访问

1411正、余弦函数的图像和性质1VIP免费

1411正、余弦函数的图像和性质1_第1页
1/3
1411正、余弦函数的图像和性质1_第2页
2/3
1411正、余弦函数的图像和性质1_第3页
3/3
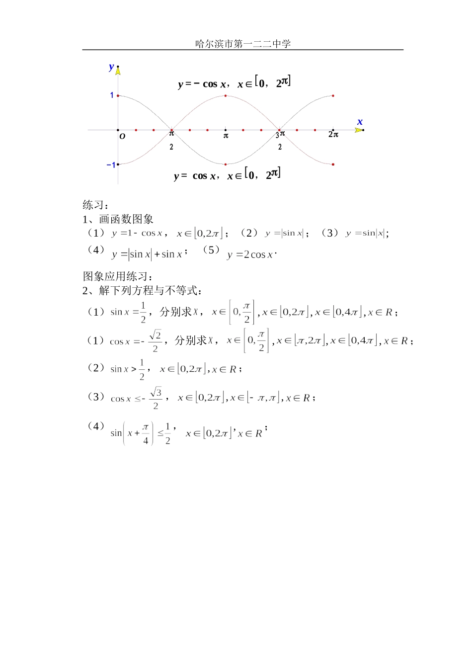
哈尔滨市第一二二中学授课日期授课班级课题正、余弦函数的图象和性质1课型新授课三维目标知识与技能理解正、余弦函数图象的画法,借助图像变幻,了解正、余弦函数间的内在联系,了解三种图象的画法,体会并熟练掌握“五点法”,能够画较简单的图象.过程与方法通过实验演示,让学生体验图象画法,通过对图象的感知形成正弦曲线的初步认识,探索正弦曲线的画法.情感、态度与价值观让学生体会数学中的图形美,渗透由抽象到具体的思想,加深数形结合思想的认识,理解动、静辩证关系.教学重点正弦函数、余弦函数图象教学难点几何法画图象,正、余弦函数图象的关系教学方法探究、讲练结合教具多媒体教学过程:一、问题导学:简谐振动例子的讲解(用电脑演示)二、讨论讲解:利用三角函数线画图象用多媒体演示整个过程强调:五个关键点,,,,“五点法”画正弦函数图象:描出五个关键点,用光滑曲线连接就可以得到简图.y=sinx,x∈RxxyO1Oy探究:根据诱导公式,以正弦函数的图象为基础,通过适当的图形变换得到余弦函数的图象吗?哈尔滨市第一二二中学得到探究结果y=cosx,x∈RxyO探究:余弦函数图像的五个关键点三、例题讲解例1画出下列函数的简图(1),;(2),.y=sinx,x∈0,2y=1+sinx,x∈0,23222-11Oxy(2)哈尔滨市第一二二中学y=cosx,x∈0,2y=-cosx,x∈0,2322-11Oxy练习:1、画函数图象(1),;(2);(3);(4);(5).图象应用练习:2、解下列方程与不等式:(1),分别求,,,,;(1),分别求,,,,;(2),,;(3),,,;(4),,;

1、当您付费下载文档后,您只拥有了使用权限,并不意味着购买了版权,文档只能用于自身使用,不得用于其他商业用途(如 [转卖]进行直接盈利或[编辑后售卖]进行间接盈利)。
2、本站所有内容均由合作方或网友上传,本站不对文档的完整性、权威性及其观点立场正确性做任何保证或承诺!文档内容仅供研究参考,付费前请自行鉴别。
3、如文档内容存在违规,或者侵犯商业秘密、侵犯著作权等,请点击“违规举报”。

碎片内容

1411正、余弦函数的图像和性质1

您可能关注的文档

精华资料店+ 关注
实名认证
内容提供者

大量教育教学资料

相关文档

确认删除?
VIP
微信客服
  • 扫码咨询
会员Q群
  • 会员专属群点击这里加入QQ群
客服邮箱
回到顶部