电脑桌面
添加小米粒文库到电脑桌面
安装后可以在桌面快捷访问

随堂练习3-分式的加减VIP免费

随堂练习3-分式的加减_第1页
1/4
随堂练习3-分式的加减_第2页
2/4
随堂练习3-分式的加减_第3页
3/4
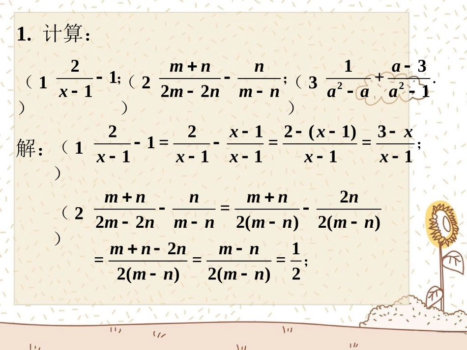
1.计算:(1)(2)(3)211;x22;mnnmnmn.2213+1aaaa2212(1)31===11111;xxxxxxxx解:(1)2=222()2()21===2()2()2;mnnmnnmnmnmnmnmnnmnmnmn(2).222131(3)+=+1(1)(1)(1)(1)1+(3)(1)(1)===(1)(1)(1)(1)(1)aaaaaaaaaaaaaaaaaaaaaaaaaa(3)1.计算:(1)(2)(3)211;x22;mnnmnmn.2213+1aaaa2.先化简,再求值:解:2+1+1+1+1=+11+1111+1+2=+=111;aaaaaaaaaaaaaa(1)2+1+111aaaa(1)当1=10a时,求的值;224+xyxyxyxy(2)设x=3y,求的值.因为1=10a,所以,原式=1+2710=13110;2.先化简,再求值:(2)解:()()()()()()()()22224+4+=++==.++xyxyxyxyxyxyxyxyxyxyxyxyxyxyxy2+1+111aaaa(1)当1=10a时,求的值;224+xyxyxyxy(2)设x=3y,求的值.因为x=3y,所以,原式=321==.3+42yyyyyy

1、当您付费下载文档后,您只拥有了使用权限,并不意味着购买了版权,文档只能用于自身使用,不得用于其他商业用途(如 [转卖]进行直接盈利或[编辑后售卖]进行间接盈利)。
2、本站所有内容均由合作方或网友上传,本站不对文档的完整性、权威性及其观点立场正确性做任何保证或承诺!文档内容仅供研究参考,付费前请自行鉴别。
3、如文档内容存在违规,或者侵犯商业秘密、侵犯著作权等,请点击“违规举报”。

碎片内容

随堂练习3-分式的加减

您可能关注的文档

相关文档

确认删除?
VIP
微信客服
  • 扫码咨询
会员Q群
  • 会员专属群点击这里加入QQ群
客服邮箱
回到顶部