电脑桌面
添加小米粒文库到电脑桌面
安装后可以在桌面快捷访问

人教A版高中数学必修五数列练习题——求数列的通项公式VIP免费

人教A版高中数学必修五数列练习题——求数列的通项公式_第1页
1/4
人教A版高中数学必修五数列练习题——求数列的通项公式_第2页
2/4
人教A版高中数学必修五数列练习题——求数列的通项公式_第3页
3/4
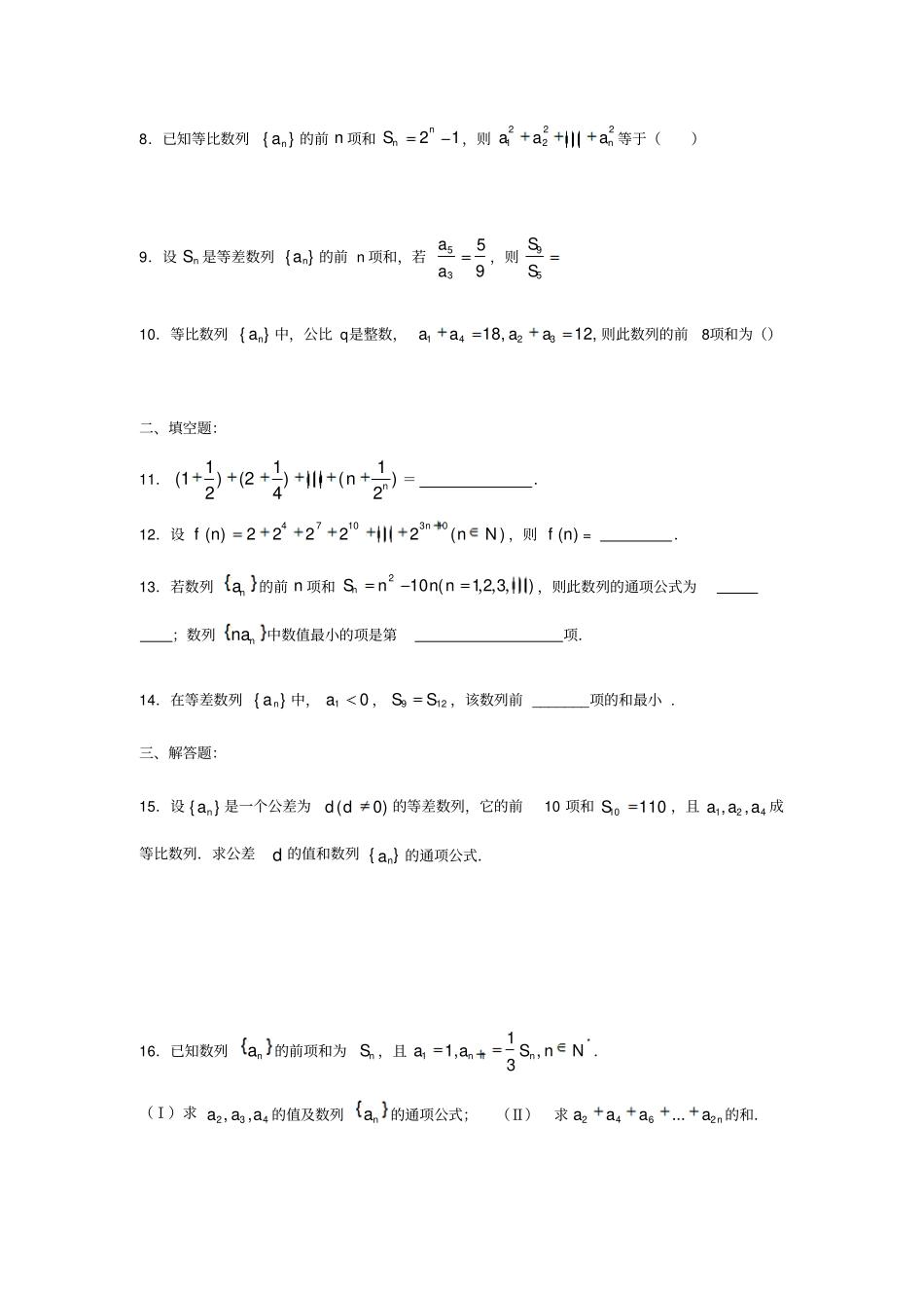
高中数学学习材料(灿若寒星精心整理制作)数列练习题——求数列的通项公式一、填空题1.在等差数列na中,已知1232,13,aaa则456aaa等于()2.数列{}na的前n项和为nS,若1(1)nann,则5S等于()3.设nS是等差数列na的前n项和,若735S,则4a()4.等差数列共有10项,其中奇数项之和15,偶数项之和为30,则其公差是()5.等比数列前n项的和为48,前2n项的和为70,则前3n项的和为()6.等比数列{}na的各项为正数,且5647313231018,logloglogaaaaaaa则()7.已知abcd,,,成等比数列,且曲线223yxx的顶点是()bc,,则ad等于()8.已知等比数列}{na的前n项和21nnS,则22212naaa等于()9.设nS是等差数列{}na的前n项和,若5359aa,则95SS10.等比数列{}na中,公比q是整数,142318,12,aaaa则此数列的前8项和为()二、填空题:11.111(1)(2)()242nn=.12.设4710310()22222()nfnnN,则()fn=.13.若数列na的前n项和210(123)nSnnn,,,,则此数列的通项公式为;数列nna中数值最小的项是第项.14.在等差数列}{na中,10a,912SS,该数列前_______项的和最小.三、解答题:15.设{}na是一个公差为(0)dd的等差数列,它的前10项和10110S,且124,,aaa成等比数列.求公差d的值和数列{}na的通项公式.16.已知数列na的前项和为nS,且*1111,,3nnaaSnN.(Ⅰ)求234,,aaa的值及数列na的通项公式;(Ⅱ)求2462...naaaa的和.17.已知数列}{na满足1111,3(2)nnnaaan,证明213nna.18.求下列数列的通项公式(1)111,1(2)3nnaaan;(2)nS是{}na的前n项和,121nnS。19.已知二次函数2()32fxxx,数列{}na的前n项和为nS,点(,)()nnSnN均在函数()yfx的图像上.(Ⅰ)求数列{}na的通项公式;(Ⅱ)设13nnnaab,nT是数列{}nb的前n项和,求使得20nmT对所有nN都成立的最小正整数m.

1、当您付费下载文档后,您只拥有了使用权限,并不意味着购买了版权,文档只能用于自身使用,不得用于其他商业用途(如 [转卖]进行直接盈利或[编辑后售卖]进行间接盈利)。
2、本站所有内容均由合作方或网友上传,本站不对文档的完整性、权威性及其观点立场正确性做任何保证或承诺!文档内容仅供研究参考,付费前请自行鉴别。
3、如文档内容存在违规,或者侵犯商业秘密、侵犯著作权等,请点击“违规举报”。

碎片内容

人教A版高中数学必修五数列练习题——求数列的通项公式

爱的疯狂+ 关注
实名认证
内容提供者

该用户很懒,什么也没介绍

相关文档

确认删除?
VIP
微信客服
  • 扫码咨询
会员Q群
  • 会员专属群点击这里加入QQ群
客服邮箱
回到顶部