电脑桌面
添加小米粒文库到电脑桌面
安装后可以在桌面快捷访问

人教版七年级数学计算题集VIP免费

人教版七年级数学计算题集_第1页
1/4
人教版七年级数学计算题集_第2页
2/4
人教版七年级数学计算题集_第3页
3/4
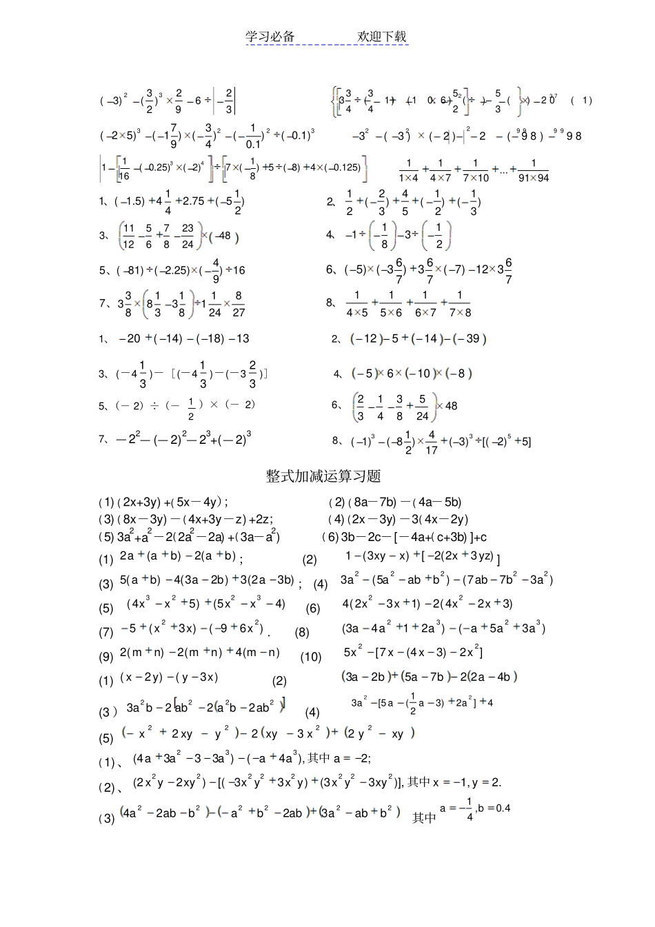
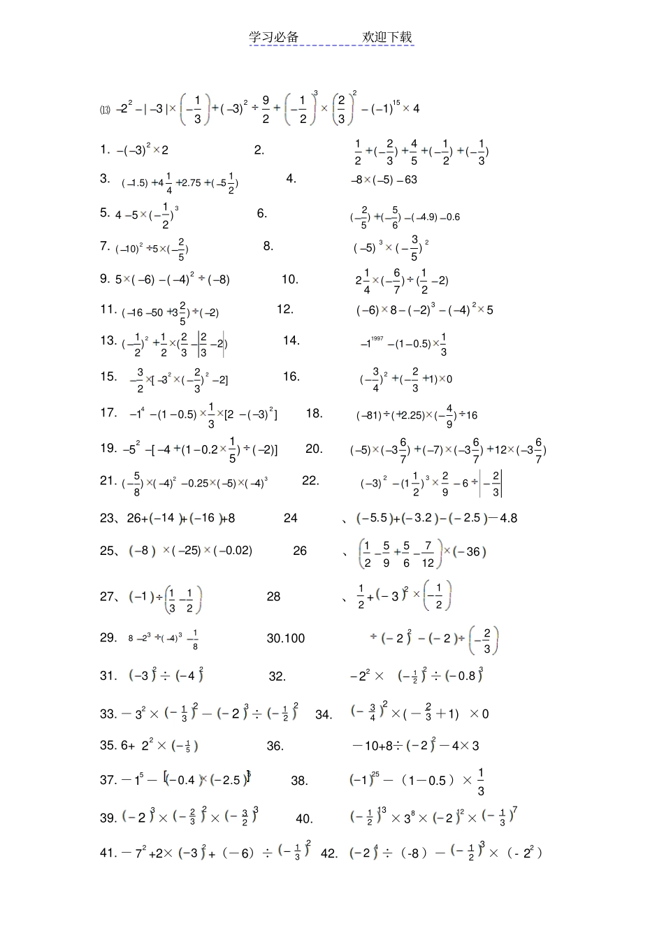
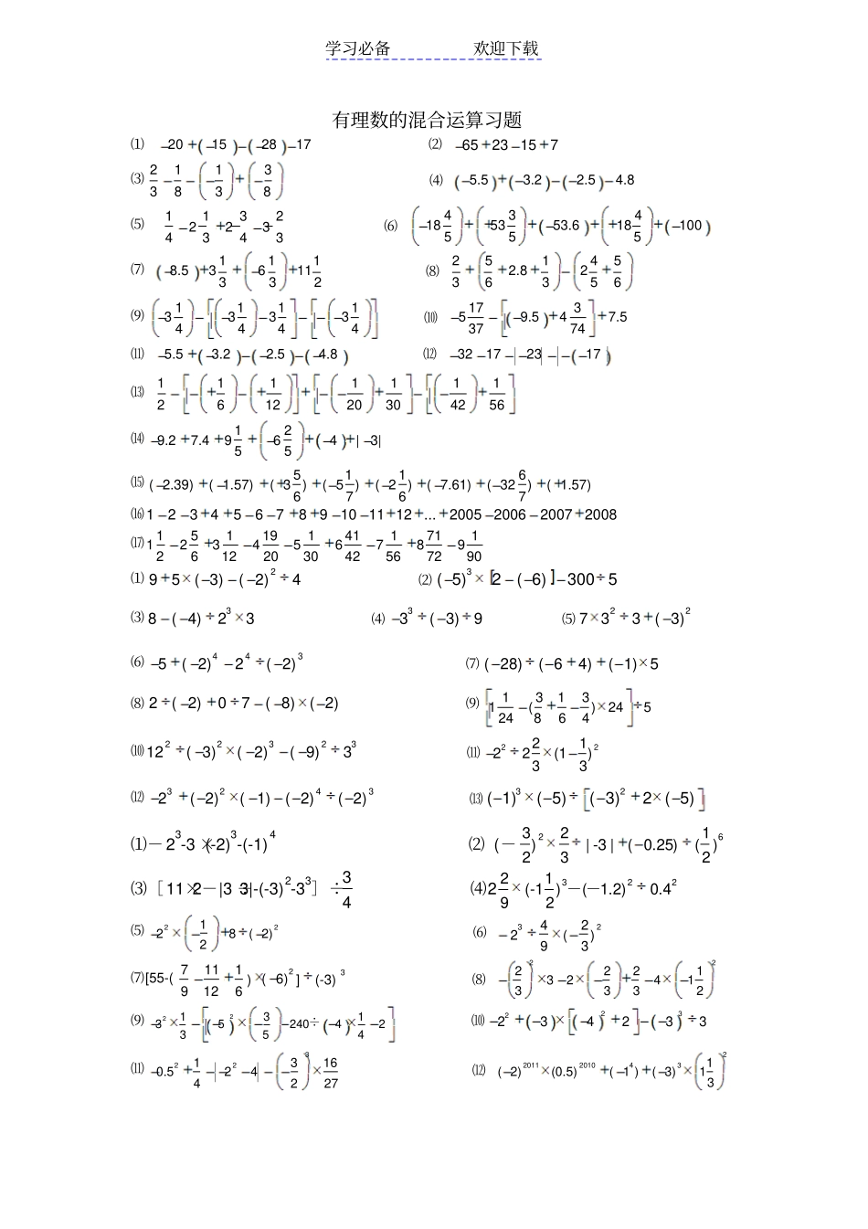
学习必备欢迎下载有理数的混合运算习题⑴20152817⑵6523157⑶21133838⑷5.53.22.54.8⑸11322234343⑹434185353.618100555⑺1118.53611332⑻251452.8236356⑼111133334444⑽17359.547.53774⑾5.53.22.54.8⑿32172317⒀1111111261220304256⒁129.27.4964|3|55⒂5116(2.39)(1.57)(3)(5)(2)(7.61)(32)(1.57)6767⒃123456789101112...2005200620072008⒄1511914117111234567892612203042567290⑴295(3)(2)4⑵3(5)2(6)3005⑶38(4)23⑷33(3)9⑸22733(3)⑹4435(2)2(2)⑺(28)(64)(1)5⑻2(2)07(8)(2)⑼13131()24524864⑽2232312(3)(2)(9)3⑾222122(1)33⑿32432(2)(1)(2)(2)⒀32(1)(5)(3)2(5)⑴-23-3×(-2)3-(-1)4⑵(-62)21()25.0(|-3|32)23⑶[11×2-|3÷3|-(-3)2-33]÷43⑷22234.0)2.1()21(-192--⑸22128(2)2⑹23)32(942⑺[55-(71119126)2(6)](-3)3⑻22222132413332⑼221313524042354÷⑽232234233⑾32213160.5244227⑿220112010431(2)(0.5)(1)(3)13学习必备欢迎下载⒀32221519122|3|(3)(1)432231.2(3)22.12411()()()235233.11(1.5)42.75(5)424.8(5)635.3145()26.25()()(4.9)0.6567.22(10)5()58.323(5)()59.25(6)(4)(8)10.1612()(2)47211.2(16503)(2)512.32(6)8(2)(4)513.21122()(2)223314.199711(10.5)315.2232[3()2]2316.232()(1)04317.4211(10.5)[2(3)]318.4(81)(2.25)()16919.215[4(10.2)(2)]520.666(5)(3)(7)(3)12(3)77721.235()(4)0.25(5)(4)822.23122(3)(1)629323、26+14+16+824、5.5+2.35.2-4.825、8)02.0()25(26、1276595213627、1213128、21+232129.81)4(283330.1002223231.23÷2432.22×221÷38.033.-23×231-32÷22134.243×(-32+1)×035.6+22×5136.-10+8÷22-4×337.-51-55.24.038.251-(1-0.5)×3139.32×232×32340.1321×83×122×73141.-27+2×23+(-6)÷23142.42÷(-8)-321×(-22)学习必备欢迎下载23322(3)()629323733553(1)(10.6)()()20(1)44233223731(25)(1)()()(0.1)940.122299993(3)(2)2(98)9834111(0.25)(2)7()5(8)4(0.125)1681111...14477109194111(1.5)42.75(5)42、124112()()()23523、115723348126824、1141382、4(81)(2.25)()1695、666(5)(3)3(7)1237776、31118383183824277、1111455667788、1、13)18()14(202、39145123、(-431)-[(-431)-(-332)]4、810655、(-2)÷(-21)×(-2)6、482458341327、—22—(—2)2—23+(—2)38、33514(1)(8)(3)[(2)5]217整式加减运算习题(1)(2x+3y)+(5x-4y);(2)(8a-7b)-(4a-5b)(3)(8x-3y)-(4x+3y-z)+2z;(4)(2x-3y)-3(4x-2y)(5)3a2+a2-2(2a2-2a)+(3a-a2)(6)3b-2c-[-4a+(c+3b)]+c(1))(2)(2babaa;(2))32(2[)3(1yzxxxy](3))32(3)23(4)(5bababa;(4))377()5(322222ababbabaa(5))45()54(3223xxxx(6))324(2)132(422xxxx(7))69()3(522xxx.(8))35()2143(3232aaaaaa(9))(4)(2)(2nmnmnm(10)]2)34(7[522xxxx(1)(2)(3)xyyx(2)bababa4227523(3)22222223abbaabba(4)2213[5(3)2]42aaaa(5)xyyxxyyxyx22222322(1)、233(4333)(4),2;aaaaaa其中(2)、22222222(22)[(33)(33)],1,2.xyxyxyxyxyxyxy其中(3)2222223224babaabbababa其中4.0,41ba学习必备欢迎下载解一元一次方程运算习题(1)7(2x-1)-3(4x-1)=4(3x+2)-1;(2)(5y+1)+(1-y)=(9y+1)+(1-3y);(3)[(1/4x-3)-4]=x+2;(4)20%+(1-20%)(320-x)=320×40%(5)2(x-2)+2=x+1(6)2(x-2)-3(4x-1)=9(1-x)(7)11x+64-2x=100-9x(8)15-(8-5x)=7x+(4-3x)(9)3(x-7)-2[9-4(2-x)]=22(10)3/2[2/3(1/4x-1)-2]-x=2(11)2x-10.3x=15(12)0.52x-(1-0.52)x=80(13)x/2+3x/2=7(14)3x+7=32-2x(15)3x+5(138-x)=540(16)3x-7(x-1)=3-2(x+3)(17)18x+3x-3=18-2(2x-1)(18)3(20-y)=6y-4(y-11)(19)-(x/4-1)=5(20)3[4(5y-1)-8]=6(21)xx413243;(22)(x+1)-3(x-1)=1-3x;(23)(x-2)-2(4x-1)=3(1-x).(24)1524213xx(25)22)5(54xxx;(26)46333xxx;(27)5.245.04.2xx;(28)21.02.01.0]105)4(45[54xxxx;1.12(2x-3)=4x+42.71(2x+14)=4-15x3.216x=213x4.13y+24y=3+2y5.2(1)3x5(1)6x16.0.10.03x-0.90.20.7x17.460.01x6.5=0.0220.02x7.51.2.3.4.5.6.

1、当您付费下载文档后,您只拥有了使用权限,并不意味着购买了版权,文档只能用于自身使用,不得用于其他商业用途(如 [转卖]进行直接盈利或[编辑后售卖]进行间接盈利)。
2、本站所有内容均由合作方或网友上传,本站不对文档的完整性、权威性及其观点立场正确性做任何保证或承诺!文档内容仅供研究参考,付费前请自行鉴别。
3、如文档内容存在违规,或者侵犯商业秘密、侵犯著作权等,请点击“违规举报”。

碎片内容

人教版七年级数学计算题集

您可能关注的文档

确认删除?
VIP
微信客服
  • 扫码咨询
会员Q群
  • 会员专属群点击这里加入QQ群
客服邮箱
回到顶部