电脑桌面
添加小米粒文库到电脑桌面
安装后可以在桌面快捷访问

人教版八年级上册数学分式计算题专项练习含答案VIP免费

人教版八年级上册数学分式计算题专项练习含答案_第1页
1/10
人教版八年级上册数学分式计算题专项练习含答案_第2页
2/10
人教版八年级上册数学分式计算题专项练习含答案_第3页
3/10
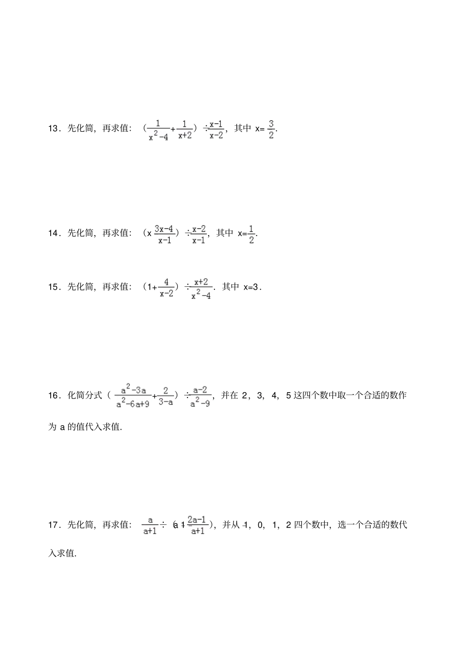
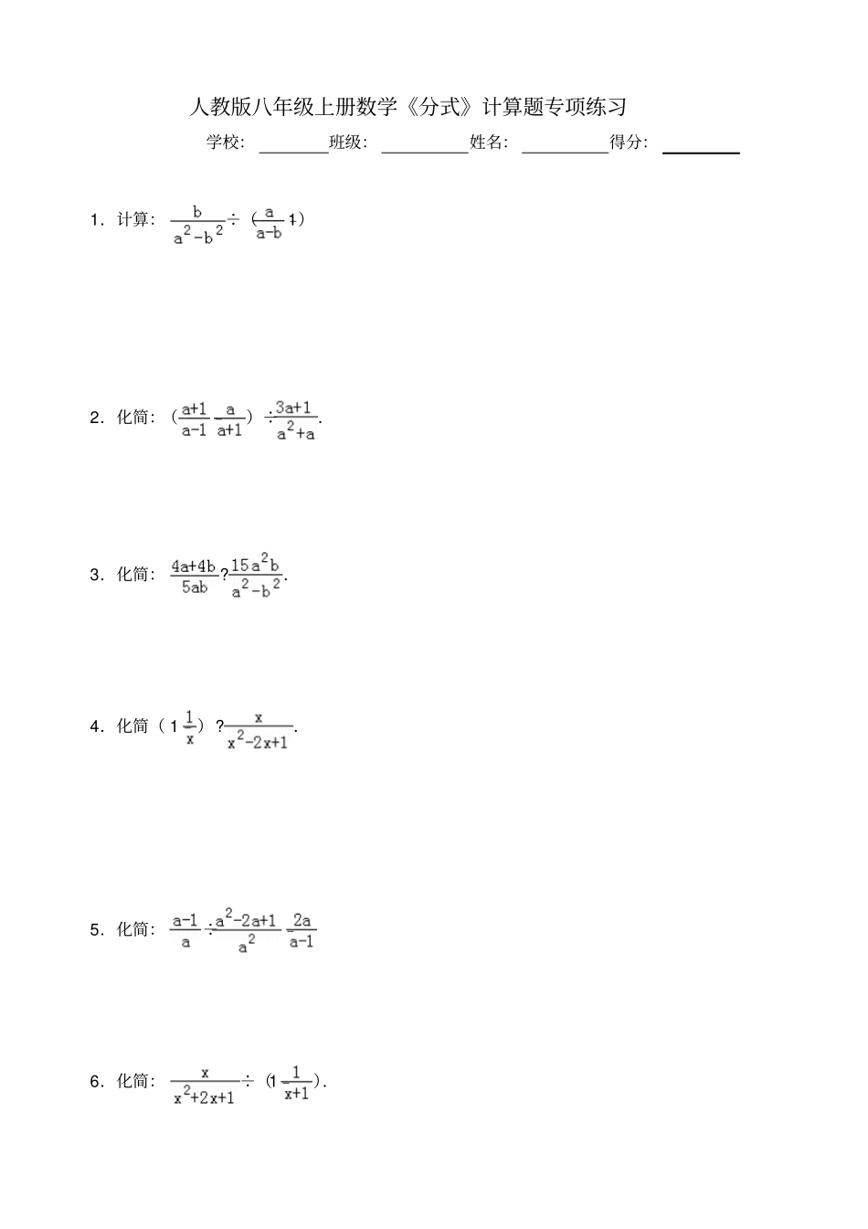
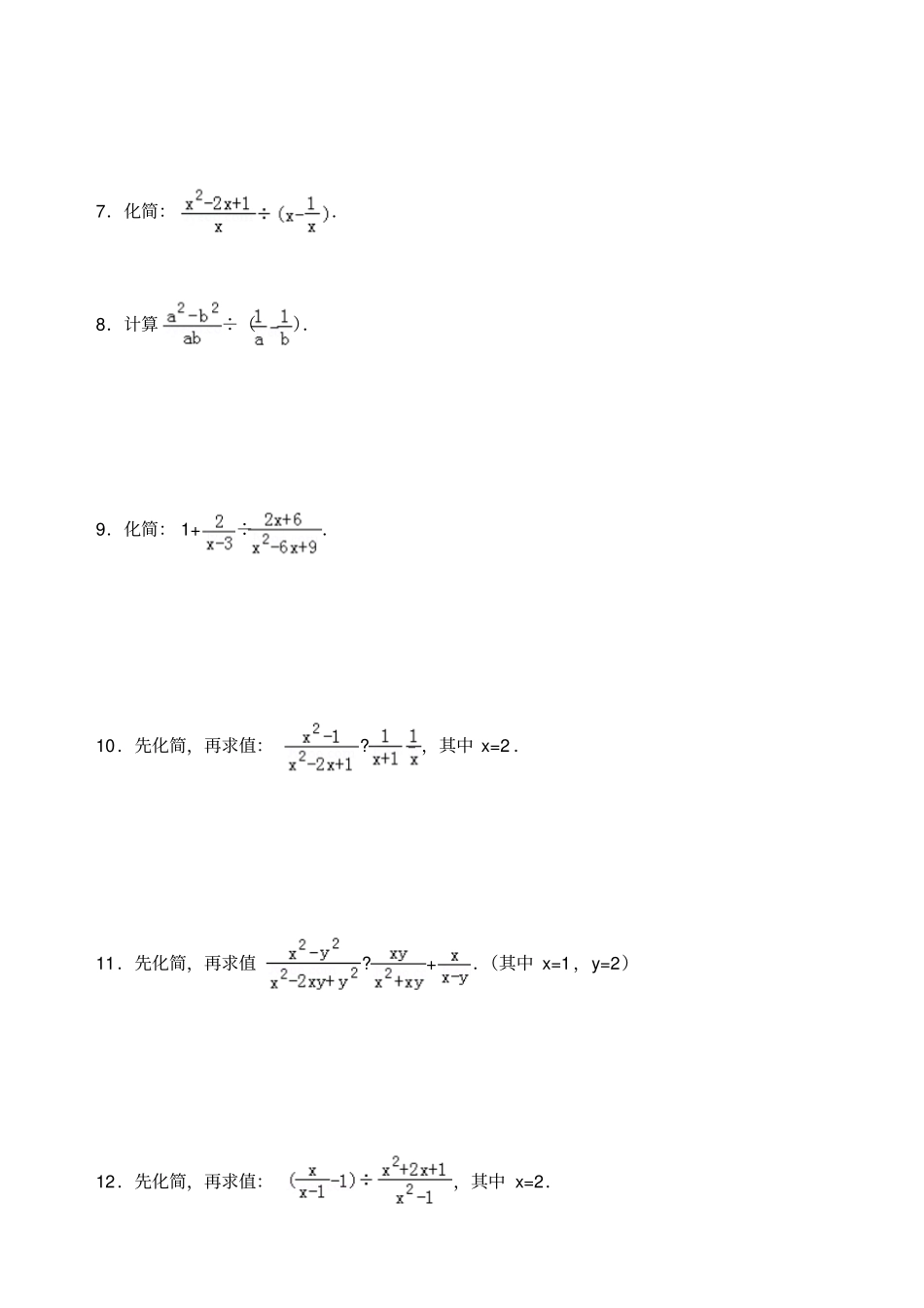
人教版八年级上册数学《分式》计算题专项练习学校:班级:姓名:得分:1.计算:÷(﹣1)2.化简:(﹣)÷.3.化简:?.4.化简(1﹣)?.5.化简:÷﹣6.化简:÷(1﹣).7.化简:.8.计算÷().9.化简:1+÷.10.先化简,再求值:?﹣,其中x=2.11.先化简,再求值?+.(其中x=1,y=2)12.先化简,再求值:,其中x=2.13.先化简,再求值:(+)÷,其中x=﹣.14.先化简,再求值:(x﹣)÷,其中x=.15.先化简,再求值:(1+)÷.其中x=3.16.化简分式(+)÷,并在2,3,4,5这四个数中取一个合适的数作为a的值代入求值.17.先化简,再求值:÷(a﹣1﹣),并从﹣1,0,1,2四个数中,选一个合适的数代入求值.18.先化简,再求值:÷(﹣x﹣2),其中|x|=2.19.先化简,再求值:(+)÷,且x为满足﹣3<x<2的整数.20.先化简(﹣)÷,再从﹣2,﹣1,0,1,2中选一个你认为合适的数作为x的值代入求值.21.先化简,再求值:﹣÷,其中a=﹣1.22.先化简÷(a﹣2+),然后从﹣2,﹣1,1,2四个数中选择一个合适的数作为a的值代入求值.人教版八年级上册数学《分式》计算题专项练习参考答案与试题解析1.【解答】解:原式=÷(﹣)=÷=?=.2.【解答】解:原式=[﹣]÷=÷=?=.3.【解答】解:原式=?=.4.【解答】解:(1﹣)?==.5.【解答】解:原式=?﹣=﹣=6.【解答】解:÷(1﹣)===.7.【解答】解:原式=÷(﹣)=÷=?=.8.【解答】解:原式=÷=?=﹣(a+b)=﹣a﹣b.9.【解答】解:原式=1+?=1+=+=.10.【解答】解:原式=?﹣=﹣=﹣=,当x=2时,原式==.11.【解答】解:当x=1,y=2时,原式=?+=+==﹣312.【解答】解:原式=把x=2代入得:原式=13.【解答】解:原式=?=,当x=﹣时,原式=2.14.【解答】解:(x﹣)÷====x﹣2,当x=时,原式=﹣2=﹣.15.【解答】解:(1+)÷=×=x+2.当x=3时,原式=3+2=5.16.【解答】解:原式=[﹣]÷=(﹣)?=?=a+3,∵a≠﹣3、2、3,∴a=4或a=5,则a=4时,原式=7,a=5时,原式=8.17.【解答】解:原式=÷(﹣)=÷=?=,∵a≠﹣1且a≠0且a≠2,∴a=1,则原式==﹣1.18.【解答】解:÷(﹣x﹣2)====,∵|x|=2,x﹣2≠0,解得,x=﹣2,∴原式=.19.【解答】解:原式=[+]÷=(+)?x=x﹣1+x﹣2=2x﹣3由于x≠0且x≠1且x≠﹣2所以x=﹣1原式=﹣2﹣3=﹣520.【解答】解:原式=[﹣]÷=?=,∵x≠±1且x≠﹣2,∴x只能取0或2,当x=0时,原式=﹣1.21.【解答】解:原式====当a=﹣1时,原式=22.【解答】解:原式=?=当a=2时,原式==3.

1、当您付费下载文档后,您只拥有了使用权限,并不意味着购买了版权,文档只能用于自身使用,不得用于其他商业用途(如 [转卖]进行直接盈利或[编辑后售卖]进行间接盈利)。
2、本站所有内容均由合作方或网友上传,本站不对文档的完整性、权威性及其观点立场正确性做任何保证或承诺!文档内容仅供研究参考,付费前请自行鉴别。
3、如文档内容存在违规,或者侵犯商业秘密、侵犯著作权等,请点击“违规举报”。

碎片内容

人教版八年级上册数学分式计算题专项练习含答案

您可能关注的文档

确认删除?
VIP
微信客服
  • 扫码咨询
会员Q群
  • 会员专属群点击这里加入QQ群
客服邮箱
回到顶部