电脑桌面
添加小米粒文库到电脑桌面
安装后可以在桌面快捷访问

全国硕士研究生入学统一考试数学模拟试题VIP免费

全国硕士研究生入学统一考试数学模拟试题_第1页
1/3
全国硕士研究生入学统一考试数学模拟试题_第2页
2/3
全国硕士研究生入学统一考试数学模拟试题_第3页
3/3
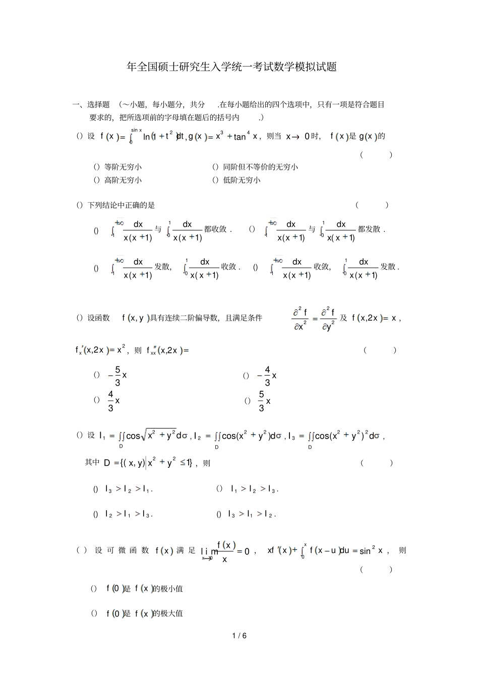
1/6年全国硕士研究生入学统一考试数学模拟试题一、选择题(~小题,每小题分,共分.在每小题给出的四个选项中,只有一项是符合题目要求的,把所选项前的字母填在题后的括号内.)()设xxxgdttxfx43sin02tan,1ln,则当0x时,xf是xg的()()等阶无穷小()同阶但不等价的无穷小()高阶无穷小()低阶无穷小()下列结论中正确的是()()1)1(xxdx与10)1(xxdx都收敛.()1)1(xxdx与10)1(xxdx都发散.()1)1(xxdx发散,10)1(xxdx收敛.()1)1(xxdx收敛,10)1(xxdx发散.()设函数yxf,具有连续二阶偏导数,且满足条件2222yfxf及xxxf2,,22,xxxfx,则xxfxx2,()()x35()x34()x34()x35()设dyxID221cos,dyxID)cos(222,dyxID2223)cos(,其中}1),{(22yxyxD,则()()123III.()321III.()312III.()213III.()设可微函数xf满足0lim0xxfx,xduuxfxfxx20sin,则()()0f是xf的极小值()0f是xf的极大值2/6()0,0f是曲线xfy的拐点()0f不是xf的极值,0,0f也不是曲线xfy的拐点()设xf是连续函数,xF是xf的原函数,则()()当xf是奇函数时,xF必为偶函数;()当xf是偶函数时,xF必为奇函数;()当xf是周期函数时,xF必为周期函数;()当xf是单调增函数时,xF必为单调增函数.()设CBA,,均为阶方阵,且满足EABAC,其中E为阶单位矩阵,则()()ECABATTTT()ECABA2222()ECBA2()EBCA2()已知矩阵4321A经初等行变换,化为110021103111,则必有()()3214()321423()32142()4321,,,线性无关()设二维随机变量()的概率分布为a已知随机事件}0{X与}1{YX相互独立,则()()a,()a,()a,()a,()设随机变量,不相关,则下述选项不正确的是()3/6()0,cov()DDD()DDD()DEE二、填空题(~小题,每小题分,共分.把答案填在题中横线上.)()xxxxxx1lncos11sincos15sinlim20.()微分方程0yyx满足初始条件2)1(y的特解为.()微分方程xyxyylnln1的通解为.()设行向量组)1,1,1,2(,),,1,2(aa,),1,2,3(a,)1,2,3,4(线性相关,且1a,则a.()设矩阵10010122xA相似于对角矩阵,则x.()设二维正态变量YX,的边缘分布为1,0~,4,1~NYNX,且0xy,则1YXP.三、解答题(小题,共分.解答应写出文字说明、证明过程或演算步骤.)()(本题满分分)设)(uf具有二阶连续导数,且)()(),(yxyfxyfyxg,求.222222ygyxgx()(本题满分分)设函数xf在区间1,0上连续,在1,0内可导,且010ff,121f.

1、当您付费下载文档后,您只拥有了使用权限,并不意味着购买了版权,文档只能用于自身使用,不得用于其他商业用途(如 [转卖]进行直接盈利或[编辑后售卖]进行间接盈利)。
2、本站所有内容均由合作方或网友上传,本站不对文档的完整性、权威性及其观点立场正确性做任何保证或承诺!文档内容仅供研究参考,付费前请自行鉴别。
3、如文档内容存在违规,或者侵犯商业秘密、侵犯著作权等,请点击“违规举报”。

碎片内容

全国硕士研究生入学统一考试数学模拟试题

爱的疯狂+ 关注
实名认证
内容提供者

该用户很懒,什么也没介绍

确认删除?
VIP
微信客服
  • 扫码咨询
会员Q群
  • 会员专属群点击这里加入QQ群
客服邮箱
回到顶部