电脑桌面
添加小米粒文库到电脑桌面
安装后可以在桌面快捷访问

哈工大机械原理考研例题精解VIP免费

哈工大机械原理考研例题精解_第1页
1/3
哈工大机械原理考研例题精解_第2页
2/3
哈工大机械原理考研例题精解_第3页
3/3
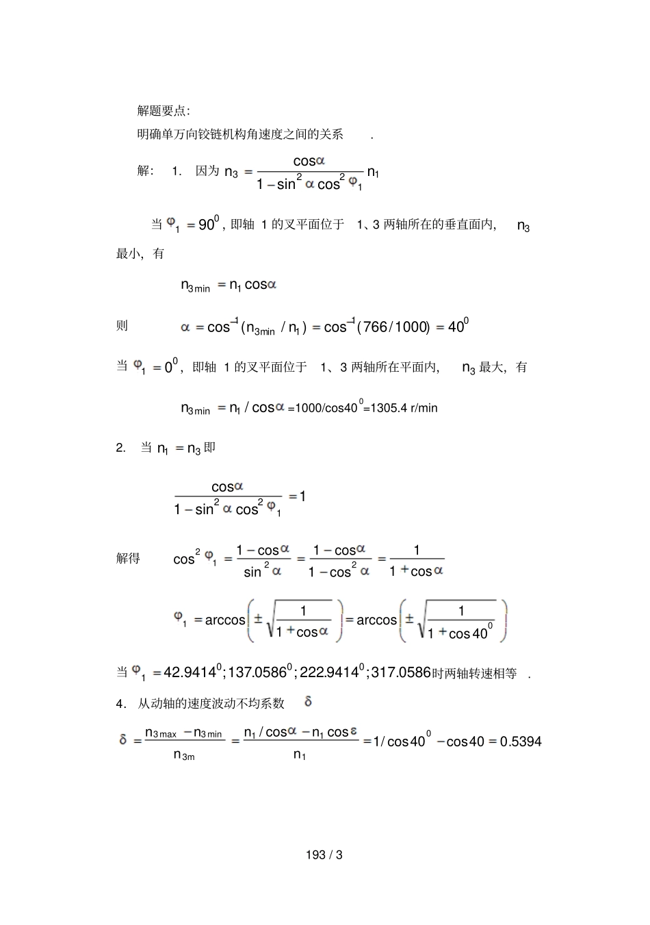
191 / 3 6.3 例题精解及答题技巧例 6-1 某自动机上一棘轮机构,棘爪往复摆动一次,使棘轮转过180,于是工件由一个工位转入另一个工位,已知棘轮的模数m =8mm ,试计算该棘轮机构的主要几何尺寸. 解题要点: 棘轮机构基本几何尺寸的计算. 解: 1. 齿数 z棘轮每次至少转过一个齿又必须转过180(一个工位),故棘轮的最小齿数为201836000minz棘轮每次转过的角度应该等于每个齿所对中心角的整数倍. 即Kz0036018(K=1、2、 3、⋯)或KKz201836000齿数 z的选择除满足运动要求外,尚需考虑轮齿强度、转位精度、转位精度、总体结构所允许的尺寸等因素. 这里去2K,故选棘轮的齿数为4022020 Kz2.顶圆直径admmzmda3204083.周节 t (弧长)mt4.齿高 h取mmmh6875.075.05.齿顶弦长 a取mmma86.齿面倾斜角取0157.齿根圆角半径fr取mmr f5.18. 轮齿宽度 bmb)4~1(,取mmb169. 工作面边长1h取mmh8110.非工作面边长1a取mma4111. 爪尖圆角半径1rmmr2112. 齿形角1016013. 棘爪长度 lmmpl26.5013.252214.齿槽夹角选060例 6-2 某装配自动线上有一工作台,工作台要求有六个工位,每个工位在工作台静止时间st j10 内完成装配工序.当采用外槽轮机构时,试求:1. 该槽轮机构的运动系数;2. 装圆柱销的主动构件(拨盘)的转动角速度;3. 槽轮的转位时间dt . 解题要点:明确槽轮机构运动系数的定义和计算方法;了解槽轮机构的运动过程. 解: 因为工作台要求有六个工位,所以槽轮的槽数为6,即6z. 1. 槽轮机构的运动系数设一个运动循环的时间为t, 由槽轮机构运动系数的计算公式得3/16/12/1/12/1/)(/ztttttjd2. 主动构件的转动角速度由上式得)/12/1)(/2()/12/11(zztt jsradzt j/419.0)6/12/1)(10/2()/12/1)(/2(3. 槽轮转位时间sttttjjd510419.0/2/2例 6-3 在单万向铰链机构中,主动轴 1 以1n =1000r/min 均匀, 从动轴3 作匀速运动,其最低转速min/766min3rn.试求:1. 主动轴与从动轴的夹角,从动轴 3 的最高速度max3n;2. 在轴 1 转动一转过程中,1 角为何值时两轴转速相等;3. 从动轴的速度波动不均匀系数. 193 / 3 解题要点:明确单万向铰链机构角速度之间的关系. 解:1. 因为11223cossin1cosnn当0190 ,即轴 1 的叉平面位于1、3 两轴所在的垂直面内,3n最小,有cos1min3nn则011min3140)1000/766(cos)/(cosnn当010 ,即轴 1 的叉平面位于1、3 两轴所在平面内,3n 最大,有cos/1min3nn=1000/cos400=1305.4 r/min 2.当31nn即1cossin1cos122解得cos11cos1cos1sincos1cos22120140cos11arccoscos11arccos当0586.317;9414.222;0586.137;9414.420001时两轴转速相等. 4. 从动轴的速度波动不均系数5394.040cos40cos/1coscos/01113min3max3nnnnnnm

1、当您付费下载文档后,您只拥有了使用权限,并不意味着购买了版权,文档只能用于自身使用,不得用于其他商业用途(如 [转卖]进行直接盈利或[编辑后售卖]进行间接盈利)。
2、本站所有内容均由合作方或网友上传,本站不对文档的完整性、权威性及其观点立场正确性做任何保证或承诺!文档内容仅供研究参考,付费前请自行鉴别。
3、如文档内容存在违规,或者侵犯商业秘密、侵犯著作权等,请点击“违规举报”。

碎片内容

哈工大机械原理考研例题精解

文库响当当+ 关注
实名认证
内容提供者

该用户很懒,什么也没介绍

确认删除?
VIP
微信客服
  • 扫码咨询
会员Q群
  • 会员专属群点击这里加入QQ群
客服邮箱
回到顶部