电脑桌面
添加小米粒文库到电脑桌面
安装后可以在桌面快捷访问

完整版2018年体育单招数学模拟试题一及答案VIP免费

完整版2018年体育单招数学模拟试题一及答案_第1页
1/7
完整版2018年体育单招数学模拟试题一及答案_第2页
2/7
完整版2018年体育单招数学模拟试题一及答案_第3页
3/7
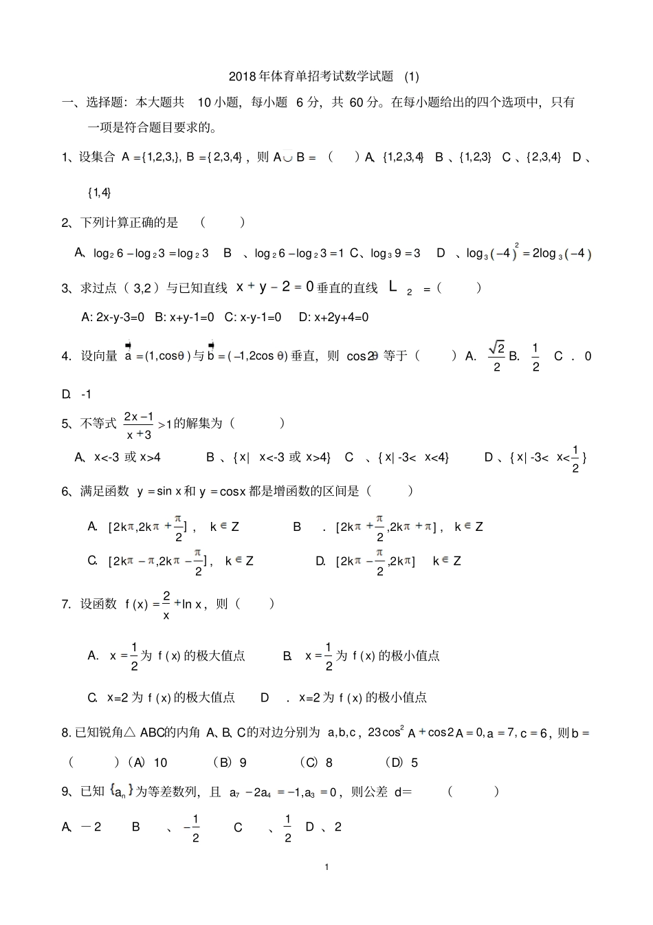
1 2018 年体育单招考试数学试题(1) 一、选择题:本大题共10 小题,每小题 6 分,共 60 分。在每小题给出的四个选项中,只有一项是符合题目要求的。1、设集合}4,3,2{},,3,2,1{BA,则BA()A、}4,3,2,1{ B 、}3,2,1{ C 、}4,3,2{ D 、}4,1{2、下列计算正确的是()A、222log 6log 3log 3 B、22log 6log 31 C、3log 93 D、233log42log43、求过点( 3,2 )与已知直线20xy垂直的直线2L=()A: 2x-y-3=0 B: x+y-1=0 C: x-y-1=0 D: x+2y+4=0 4.设向量(1,cos)a与( 1,2cos)b垂直,则 cos2 等于()A. 22B. 12 C .0 D.-1 5、不等式 2113xx的解集为()A、x<-3 或 x>4 B 、{ x| x<-3 或 x>4} C、{ x| -3< x<4} D 、{ x| -3< x<21 } 6、满足函数xysin和xycos 都是增函数的区间是()A.]22,2[kk , Zk B.]2,22[kk, ZkC.]22,2[kk, ZkD.]2,22[kkZk7.设函数2( )lnf xxx,则()A. 12x为( )fx 的极大值点B.12x为( )f x 的极小值点C.x=2 为( )fx 的极大值点 D.x=2 为( )fx 的极小值点8. 已知锐角△ ABC的内角 A、B、C的对边分别为cba,,,,7,02coscos232aAA6c,则 b()(A)10 (B)9 (C)8 (D)5 9、已知na为等差数列,且74321,0aaa,则公差 d=()A、- 2 B、12 C、 12 D 、2 10、3 名医生和 6 名护士被分配到 3 所学校为学生体检,每校分配1 名医生和 2 名护士,不同的分配方法共有()种A、90 B、180 C、270 .. D 、540 二、填空题:本大题共6 小题,每小题 6 分,共 36 分。11. 已知,lg,24axa则 x =________. 12、2nxx展开式的第 5 项为常数,则 n。13.圆锥的轴截面是等腰直角三角形,侧面积是162,则圆锥的体积是14.半径为 R的半圆卷成一个圆锥,则它的体积为________________. 15.在△ ABC中,若8,3,7cba,则其面积等于.16. 抛物线9412xy的开口,对称轴是,顶点坐标是。三、解答题:本大题共3 小题,共 54 分。解答应写出文字说明、证明过程或演算步骤。17.( 本小题满分 18 分) 在一块耕地上种植一种作物,每季种植成本为1000 元,此作物的市场价格和这块地上的产量具有随机性,且互不影响,其具体情况如下表:(1)设 X 表示在这块地上种植1 季此作物的利润,求X 的分布列;(2)若在这块地上连续3 季种植此作物,求这3 季中至少有 2 季的利润不少于... 2000 元的概率 . 18、...

1、当您付费下载文档后,您只拥有了使用权限,并不意味着购买了版权,文档只能用于自身使用,不得用于其他商业用途(如 [转卖]进行直接盈利或[编辑后售卖]进行间接盈利)。
2、本站所有内容均由合作方或网友上传,本站不对文档的完整性、权威性及其观点立场正确性做任何保证或承诺!文档内容仅供研究参考,付费前请自行鉴别。
3、如文档内容存在违规,或者侵犯商业秘密、侵犯著作权等,请点击“违规举报”。

碎片内容

完整版2018年体育单招数学模拟试题一及答案

您可能关注的文档

确认删除?
VIP
微信客服
  • 扫码咨询
会员Q群
  • 会员专属群点击这里加入QQ群
客服邮箱
回到顶部