电脑桌面
添加小米粒文库到电脑桌面
安装后可以在桌面快捷访问

完整版九年级数学相似三角形的性质及应用教师版知识点+典型例题+详细答案VIP免费

完整版九年级数学相似三角形的性质及应用教师版知识点+典型例题+详细答案_第1页
1/21
完整版九年级数学相似三角形的性质及应用教师版知识点+典型例题+详细答案_第2页
2/21
完整版九年级数学相似三角形的性质及应用教师版知识点+典型例题+详细答案_第3页
3/21
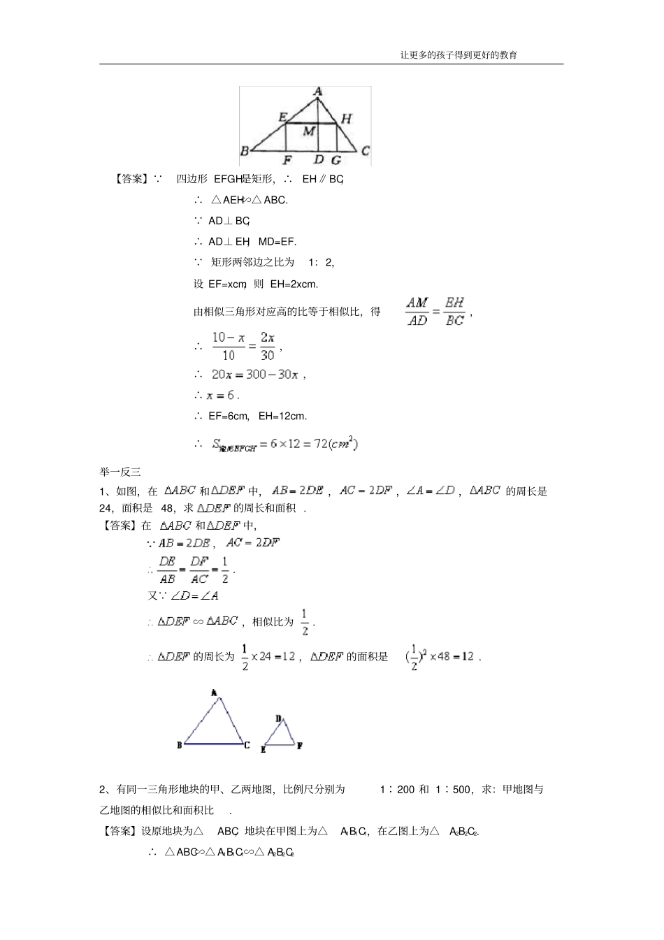
让更多的孩子得到更好的教育相似三角形的性质及应用【学习目标】1、探索相似三角形的性质,能运用性质进行有关计算;2、通过典型实例认识现实生活中物体的相似,能运用图形相似的知识解决一些简单的实际问题(如何把实际问题抽象为数学问题). 【要点梳理】要点一、相似三角形的性质1.相似三角形的对应角相等,对应边的比相等. 2. 相似三角形中的重要线段的比等于相似比. 相似三角形对应高,对应中线,对应角平分线的比都等于相似比. 3. 相似三角形周长的比等于相似比∽,则由比例性质可得:4. 相似三角形面积的比等于相似比的平方∽,则分别作出与的高和,则21122=1122ABCAB CBC ADk B Ck A DSkSB CA DB CA D△△要点诠释: 相似三角形的性质是通过比例线段的性质推证出来的.要点二、相似三角形的应用1. 测量高度测量不能到达顶部的物体的高度,通常使用“在同一时刻物高与影长的比例相等”的原理解决 . 要点诠释: 测量旗杆的高度的几种方法:平面镜测量法影子测量法手臂测量法标杆测量法让更多的孩子得到更好的教育2. 测量距离测量不能直接到达的两点间的距离,常构造如下两种相似三角形求解。1.如甲图所示,通常可先测量图中的线段DC、BD、 CE的距离(长度) ,根据相似三角形的性质,求出AB的长 . 2 .如乙图所示,可先测AC、DC及 DE的长,再根据相似三角形的性质计算AB的长 . 要点诠释:1.比例尺:表示图上距离比实地距离缩小的程度,比例尺= 图上距离 / 实际距离 ; 2.太阳离我们非常遥远,因此可以把太阳光近似看成平行光线.在同一时刻,两物体影子之比等于其对应高的比; 3.视点:观察事物的着眼点(一般指观察者眼睛的位置); 4. 仰(俯)角:观察者向上(下)看时,视线与水平方向的夹角.【典型例题】类型一、相似三角形的性质1. △ABC∽△ DEF,若△ ABC的边长分别为5cm、6cm、7cm,而 4cm是△ DEF中一边的长度,你能求出△DEF的另外两边的长度吗?试说明理由. 【答案】设另两边长是xcm,ycm,且 x<y. (1) 当△ DEF中长 4cm线段与△ ABC中长 5cm线段是对应边时,有,从而 x=cm, y=cm. (2) 当△ DEF中长 4cm线段与△ ABC中长 6cm线段是对应边时,有,从而 x=cm,y=cm. (3) 当△ DEF中长 4cm线段与△ ABC中长 7cm线段是对应边时,有,从而 x=cm, y=cm. 综上所述,△ DEF的另外两边的长度应是cm,cm或cm,cm 或cm,cm三种可能 . 2. 如图所示,已知△A...

1、当您付费下载文档后,您只拥有了使用权限,并不意味着购买了版权,文档只能用于自身使用,不得用于其他商业用途(如 [转卖]进行直接盈利或[编辑后售卖]进行间接盈利)。
2、本站所有内容均由合作方或网友上传,本站不对文档的完整性、权威性及其观点立场正确性做任何保证或承诺!文档内容仅供研究参考,付费前请自行鉴别。
3、如文档内容存在违规,或者侵犯商业秘密、侵犯著作权等,请点击“违规举报”。

碎片内容

完整版九年级数学相似三角形的性质及应用教师版知识点+典型例题+详细答案

文库响当当+ 关注
实名认证
内容提供者

该用户很懒,什么也没介绍

相关文档

确认删除?
VIP
微信客服
  • 扫码咨询
会员Q群
  • 会员专属群点击这里加入QQ群
客服邮箱
回到顶部