电脑桌面
添加小米粒文库到电脑桌面
安装后可以在桌面快捷访问

06MS2013_检查井计算系数VIP免费

06MS2013_检查井计算系数_第1页
1/14
06MS2013_检查井计算系数_第2页
2/14
06MS2013_检查井计算系数_第3页
3/14
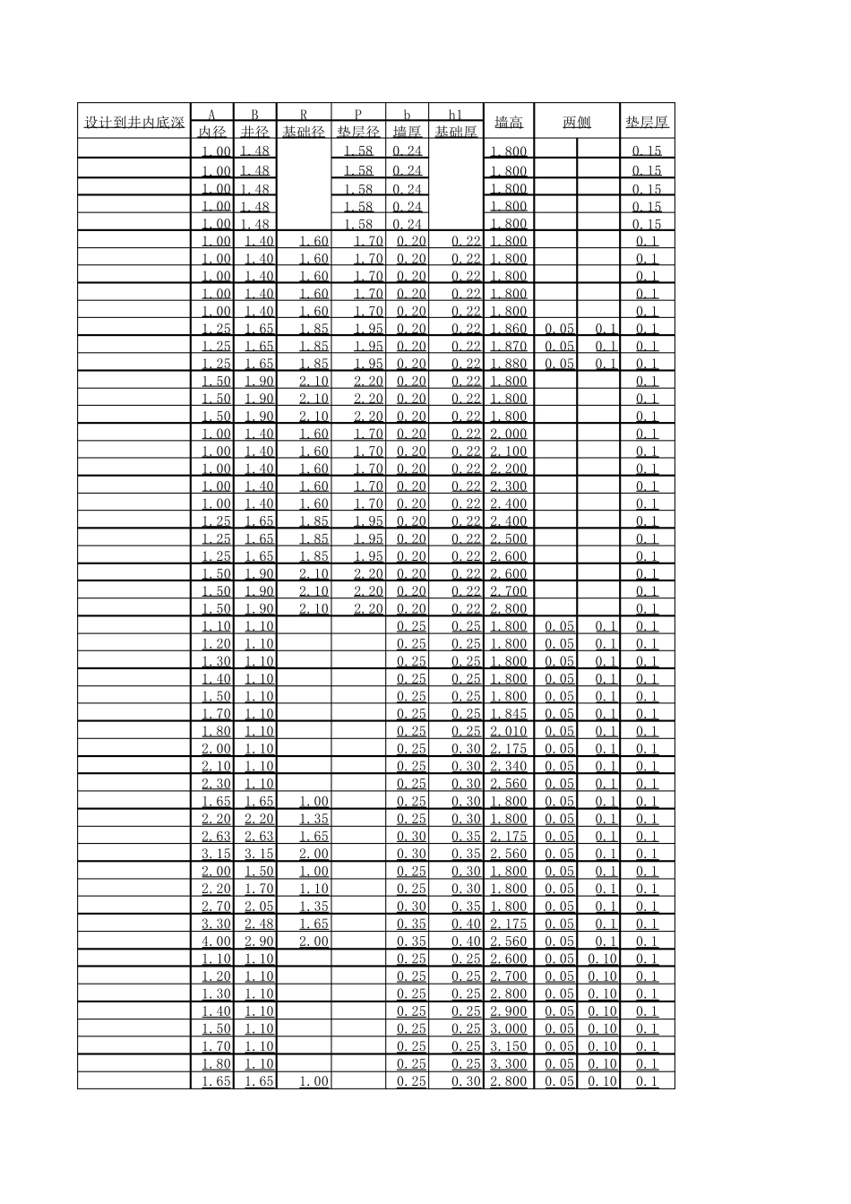
0.200.300.400.500.600.200.200.20.300.300.30.400.400.40.500.500.50.600.600.60.600.700.800.800.901.000.200.300.400.400.500.600.600.700.800.800.800.80.900.900.91.001.001.00.800.800.900.901.001.001.101.101.201.201.351.351.501.501.651.651.801.802.002.001.001.001.001.351.351.351.651.651.652.002.001.800.900.700.700.901.100.900.901.101.351.101.101.351.651.351.351.652.001.501.502.000.800.800.900.901.001.001.101.101.201.201.351.351.501.501.001.001.00D1D2D3跌差D井名称Φ1000mm圆形砖砌雨水检查井(盖板式)Φ1000mm圆形混凝土雨水检查井Φ1250mm圆形混凝土雨水检查井Φ1500mm圆形混凝土雨水检查井Φ1000mm圆形混凝土污水检查井Φ1250mm圆形混凝土污水检查井Φ1500mm圆形混凝土污水检查井矩形直线混凝土雨水检查井矩形90°三通混凝土雨水检查井矩形90°四通混凝土雨水检查井矩形直线混凝土污水检查井矩形90°三通混凝土污水检查井06MS201-3-3606MS201-3-3806MS201-3-4806MS201-3-2106MS201-3-2506MS201-3-2806MS201-3-3206MS201-3-34图集偏号06MS201-3-1106MS201-3-1206MS201-3-1506MS201-3-171.351.351.351.501.501.500.900.901.101.101.351.351.651.651.801.802.002.000.900.901.101.101.351.351.651.651.801.802.002.000.900.901.101.101.351.351.651.651.801.802.002.000.900.901.101.101.351.351.501.500.90.901.101.101.351.351.501.500.900.901.101.101.351.351.501.500.200.200.300.300.400.400.500.500.600.6006MS201-3-111阶梯式混凝土跌水井21.106MS201-3-211000混凝土污水检查井10.4D1D2D3井名称跌差D扇形混凝土雨水检查井(150°)扇形混凝土污水检查井(90°)扇形混凝土污水检查井(120°)扇形混凝土污水检查井(150°)竖槽式混凝土跌水井图集偏号矩形90°三通混凝土污水检查井扇形混凝土雨水检查井(90°)扇形混凝土雨水检查井(135°)06MS201-3-6206MS201-3-6506MS201-3-7206MS201-3-8606MS201-3-10406MS201-3-4806MS201-3-5906MS201-3-61ABRPbh1内径井径基础径垫层径墙厚基础厚1.00 1.481.580.241.8000.151.00 1.481.580.241.8000.151.00 1.481.580.241.8000.151.00 1.481.580.241.8000.151.00 1.481.580.241.8000.151.001.401.601.700.200.22 1.8000.11.001.401.601.700.200.22 1.8000.11.001.401.601.700.200.22 1.8000.11.001.401.601.700.200.22 1.8000.11.001.401.601.700.200.22 1.8000.11.25...

1、当您付费下载文档后,您只拥有了使用权限,并不意味着购买了版权,文档只能用于自身使用,不得用于其他商业用途(如 [转卖]进行直接盈利或[编辑后售卖]进行间接盈利)。
2、本站所有内容均由合作方或网友上传,本站不对文档的完整性、权威性及其观点立场正确性做任何保证或承诺!文档内容仅供研究参考,付费前请自行鉴别。
3、如文档内容存在违规,或者侵犯商业秘密、侵犯著作权等,请点击“违规举报”。

碎片内容

06MS2013_检查井计算系数

小辰8+ 关注
实名认证
内容提供者

出售各种资料和文档

相关文档

确认删除?
VIP
微信客服
  • 扫码咨询
会员Q群
  • 会员专属群点击这里加入QQ群
客服邮箱
回到顶部