专题十三 有机物的推断与合成【专题考案】1. (09 山东潍坊高三检测)某有机物 X(C12H13O6Br)遇到 FeCl3溶液显紫色,其部分结构简式...
专题五 电场和磁场 考案一、选择题1. 如图所示,C 为中间插有电介质的电容器,a 和 b 为其两极板;a 板接地;P 和 Q 为两竖直放...
第十五章推理与证明一、考纲要求(一)合情推理与演绎推理1.了解合情推理的含义,能利用归纳和类比等进行简单的推理,了解合情推理在数学...
第八课时 复数的运算一、复习目标:1、了解复数的代数表示法及其几何意义,能进行复数代数形式的四则运算;2、了解复数代数形式的加、减运...
人教版高中物理必修一教材研究分析目录: 1、新旧教材对比(第一页)2、新人教版高中物理必修一重难点梳理(第二页------第十五页)3、新人教...
第七节 复数的的概念一、复习目标:1、了解数系的扩充过程,体会实际需求与数学内部的矛盾(数的运算规则、方程理论)在数系扩充过程中的...
2010 高考数学总复习 指数函数与对数函数练习题一、选择题1新疆源头学子小屋特级教师王新敞http://www.xjktyg.com/wxc/wxckt@126.comwxck...
专题十九 实验化学(选修)【专题要点】化学实验既是研究化学、学习化学的重要方法和手段之一,也是培养同学们创新精神和实践能力的重要载...
直线与圆1.掌握两条直线平行和垂直的条件,掌握两条直线所成的角和点到直线的距离公式,能够根据直线的方程判断两条直线的位置关系.2.会...
2010 高考数学总复习 统计练习题一、选择题1新疆源头学子小屋特级教师王新敞http://www.xjktyg.com/wxc/wxckt@126.comwxckt@126.comhttp:...
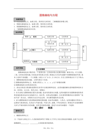
圆锥曲线与方程1.掌握椭圆的定义、标准方程、简单的几何性质、了解椭圆的参数方程.2.掌握双曲线的定义、标准方程、简单的几何性质.3....
“n=”,ni =1s=1 i< =s=s*ii=i+1 PRINT sEND2010 高考数学总复习 算法初步练习题一、选择题1新疆源头学子小屋特级教师王新敞http:/...
统计1.了解随机抽样,了解分层抽样的意义.2.会用样本频率分布估计总体的概率分布.3.会用样本平均数估计总体期望,会用样本的方差、标...
2010 高考数学总复习 三角函数的图象和性质练习题一、选择题1新疆源头学子小屋特级教师王新敞http://www.xjktyg.com/wxc/wxckt@126.comwx...
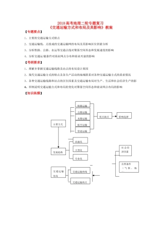
2010 高考地理二轮专题复习《交通运输方式和布局及其影响》教案【专题要点】1、主要的交通运输方式特点2、交通运输线、点组成的交通运输网...
算法初步算法的含义、程序框图(一)了解算法的含义,了解算法的思想。(二)理解程序框图的三种基本逻辑结构:顺序结构、条件结构和循环结...
2010 高考数学总复习 任意角的三角函数练习题一、选择题1新疆源头学子小屋特级教师王新敞http://www.xjktyg.com/wxc/wxckt@126.comwxckt@...
2010 高考地理二轮专题复习《水圈》教案【专题要点】1.水循环的过程和主要环节2.水循环的地理意义3.世界洋流分布规律,洋流对地理环境的影...
数列1、理解数列的概念,了解数列通项公式的意义.了解递推公式是给出数列的一种方法,并能根据递推公式写出数列的前几项.2、理解等差数列...
2010 高考数学总复习 解三角形练习题一、选择题1新疆源头学子小屋特级教师王新敞http://www.xjktyg.com/wxc/wxckt@126.comwxckt@126.comh...

