2.1.1指数问题:当生物死亡后,它机体内原有的碳14会按确定的规律衰减,大约每经过5730年衰减为原来的一半.根据此规律,人们获得了生物体内...
第第55讲讲指数、指数函数与幂函数指数、指数函数与幂函数理解有理数指数幂的含理解有理数指数幂的含义,了解实数指数幂的意义,能进义,了...
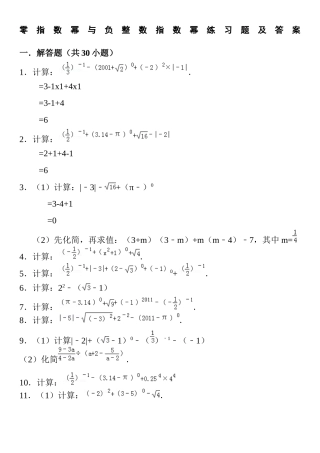
零指数幂与负整数指数幂练习题及答案一.解答题(共30小题)1.计算:.=3-1x1+4x1=3-1+4=62.计算:=2+1+4-1=63.(1)计算:|3|﹣﹣+(π...
食物升糖指数及血糖负荷表格多个食物的血糖生成指数对糖尿病人的影响较大,如果盲目的吃,会造成血糖大幅度波动。为了糖尿病人的健康,根据...
指数与指数函数一、教学目的1.理解分数指数的概念,掌握有理指数幂的运算性质.2.掌握指数函数的概念,图象和性质.二、重点、难点解说1.指...
零指数幂与负整数指数幂练习题及答案一.解答题(共30小题)1.计算:.=3-1x1+4x1=3-1+4=62.计算:=2+1+4-1=63.(1)计算:|3|﹣﹣+(π...
哮喘预测指数在婴幼儿哮喘诊疗中的意义作者:滑超侯沛君郭春艳等来源:《中国医药导报》第05期[摘要]目的探讨哮喘预测指数(API)在婴幼儿...
指数、指数函数知识点
整数指数幂练习姓名班级一、填空1.,=,2.,3.0.000001=,0.002035=,-0.0000108=4.1236000=,78305.2=,-85677889=5.,6.=,,7.=,=8.,9.,10...
中学教师幸福指数调查问卷尊敬的老师,您好!学校是我们工作和生活的地方,我们每天都在这里付出许多辛劳和汗水,您辛苦了!最近校长考虑如...
高考数学总复习指数对数、指数函数与对数函数1、根式的定义:一般地,若一个数的n次方等于a(n>1,且n∈N*),则这个数叫做a的n次方根.即xn...
1.3.3整数指数幂的运算法则学习目标:1通过探索把正整数指数幂的运算法则推广到整数指数幂的运算法则;2会用整数指数幂的运算法则熟练进行...
指数函数——分数指数幂三维目标一、知识与技能1.了解指数函数模型的实际背景,认识学习指数函数的必要性;2.理解分数指数幂的含义,了解...
第十六章分式第十六章分式正整数指数幂的运算性质:((11))aamm··aann=(=(a≠0mm、、nn为正整数为正整数))(2)(am)n=(a≠0m、n为正整...
目标例题练习小结作业复习制作:涂军华制作:涂军华目标例题练习小结作业复习),0,())(3(),,0())(2(),,0()1(QrbababaQsraaaQsraaaarrrsrsrsr...
结束放映返回概要获取详细资料请浏览:http://www.zxjkw.com/chuangxin/cx_index.html第1页探究一指数幂的运算探究一指数幂的运算探究二指...
盐城市2009届高三艺术生数学一轮复习教学案§9指数与对数(1)【考点及要求】理解指数幂的含义,进行幂的运算,理解对数的概念及运算性质【...
指、对数,幂函数复习概念指数函数对数函数幂函数xayxyalogαxy10,aaR定义域和值域定义域值域xayxyalogαxyRR)(0,...
湘教版1.3.2零次幂和负整数指数幂2.掌握零次幂及负整数指数幂的有关计算。1.了解零次幂与负整数指数幂的产生及意义。3.会用科学记数法表示...
2025年2月19日星期三回忆乘方的意义:a0=1a-n=na1(a≠0,nN∈*).(a≠0)零的零次幂没有意义零的负整数次幂没有意义an=a×a×a×……×a(nN...

