电脑桌面
添加小米粒文库到电脑桌面
安装后可以在桌面快捷访问

初中数学《解一元二次方程》练习题VIP专享VIP免费

初中数学《解一元二次方程》练习题_第1页
1/6
初中数学《解一元二次方程》练习题_第2页
2/6
初中数学《解一元二次方程》练习题_第3页
3/6
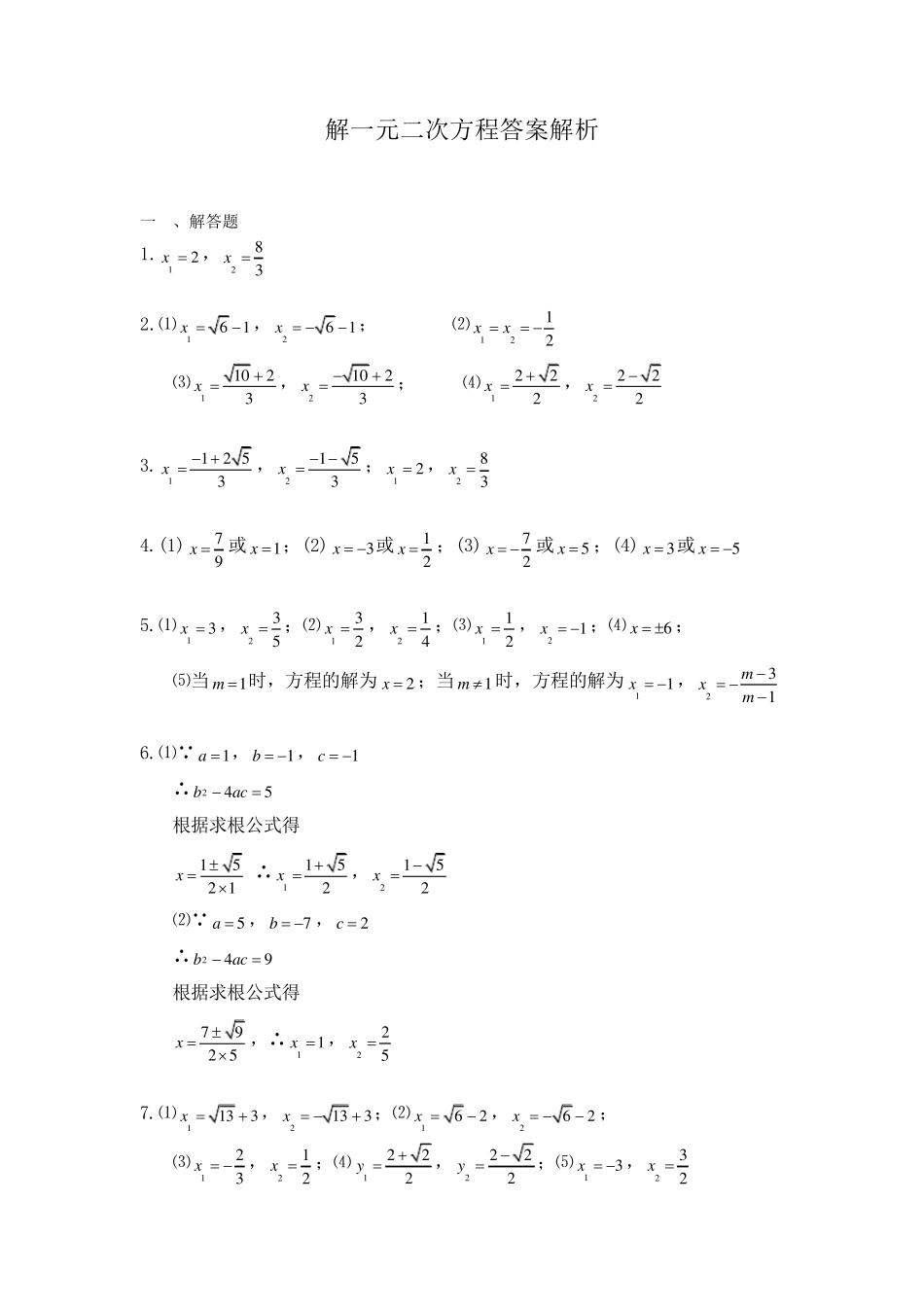
解一元二次方程 一 、解答题(本大题共16 小题) 1.解方程:2269(52 )xxx 2.你能用配方法解下列方程吗?试试看 ⑴2250xx ⑵2104xx ⑶2324xx ⑷22410xx  3.解关于 x的方程:22 (31)85x 2269(52 )xxx 4.选择恰当的方法解下列方程 (1)22(54 )(43)0xx ; (2)22530xx; (3) (27 )5(27 )x xx; (4) (1)(3)12xx 5.用恰当的方法解下列方程 ⑴23430xx x; ⑵281030xx; ⑶2(21)36xx; ⑷;2560xx ⑸2(1)(24 )30mxmx m 6.用公式法解下列方程 ⑴210xx  ⑵25720xx 7.用配方法解下列方程 ⑴2640xx ⑵2420xx ⑶211063xx ⑷2241yy  ⑸223546xxx ⑹ (1)(3)50yy ⑺22520xx 8.采用因式分解法解下列方程 ⑴22(3)9xx ⑵2(21)(12 )60xx ⑶22(31)4(1)xx ⑷22 (1)(1)xx 9.用配方法解下列方程 ⑴22490xx ⑵2368xx  10.采用恰当的方法解下列方程 ⑴2(123 )330xx ⑵2340xx ⑶222(3)(4 )(5)1 72 4xxxx 11.用公式法解下列方程 ⑴22310xx  ⑵2362xx ⑶2323pp ⑷235 (21)0xx ⑸2952nn ⑹ (5)(7)1xx ⑺1(61)432 (2)2xxxx⑻23220xx 12.解下列方程 ⑴24 (21)90x  ⑵229 (32 )(12 )xx 13. 用因式分解法解下列方程 ⑴22(23)9 (23)xx;⑵27120xx ;⑶ (2)(1)10xx;⑷22520xx 14.选择恰当的方法解下列方程 ⑴219()43x;⑵260xx;⑶2310yy ;⑷22110362xx 15.用因式分解法解下列方程 ⑴2(21)3(12 )0xx ; ⑵22(13 )1 6 (23)xx; ⑶2670xx; 16.解关于 x的方程: 224 259 31xx 222332xx 解一元二次方程答案解析 一 、解答题 1.12x ,283x  2.⑴161x  ,261x   ; ⑵1212xx  ⑶11 023x,21 023x; ⑷1222x,2222x 3.11253x ,2153x ;12x ,283x  4.(1)79x或1x ;(2)3x  或12x;(3)72x 或5x;(4)3x 或5x  5.⑴13x  ,235x ...

1、当您付费下载文档后,您只拥有了使用权限,并不意味着购买了版权,文档只能用于自身使用,不得用于其他商业用途(如 [转卖]进行直接盈利或[编辑后售卖]进行间接盈利)。
2、本站所有内容均由合作方或网友上传,本站不对文档的完整性、权威性及其观点立场正确性做任何保证或承诺!文档内容仅供研究参考,付费前请自行鉴别。
3、如文档内容存在违规,或者侵犯商业秘密、侵犯著作权等,请点击“违规举报”。

碎片内容

初中数学《解一元二次方程》练习题

确认删除?
VIP
微信客服
  • 扫码咨询
会员Q群
  • 会员专属群点击这里加入QQ群
客服邮箱
回到顶部