电脑桌面
添加小米粒文库到电脑桌面
安装后可以在桌面快捷访问

复变函数与积分变换第五版习题解答VIP免费

复变函数与积分变换第五版习题解答_第1页
1/29
复变函数与积分变换第五版习题解答_第2页
2/29
复变函数与积分变换第五版习题解答_第3页
3/29
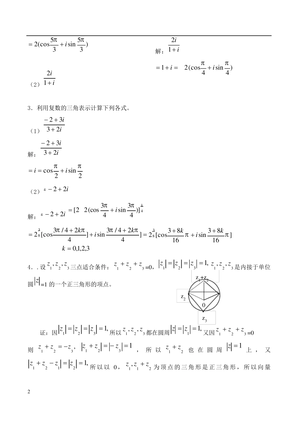
1 复变函数与积分变换第五版答案 目录 练 习 一...............................1 练 习 二...............................3 练 习 三...............................5 练 习 四...............................8 练 习 五..............................13 练 习 六..............................16 练 习 七..............................18 练 习 八..............................21 练 习 九..............................24 练 习 一 1.求下列各复数的实部、虚部、模与幅角。 (1)iiii524321; 解:iiii524321 =i2582516  zkkArgzzzz221arctan2558258Im2516Re (2)3)231(i 解: 3)231(i zkkArgzzzzeii210Im1Re1][)3sin3(cos333 2.将下列复数写成三角表示式。 1)i31 解:i31 2 )35sin35(cos2i (2)ii12 解:ii12 )4sin4(cos21ii 3.利用复数的三角表示计算下列各式。 (1)ii2332 解:ii2332 2sin2cosii (2)422i 解:422i41)]43sin43(cos22[i 3,2,1,0]1683sin1683[cos2]424/3sin]424/3[cos28383kkikkik 4..设321,,zzz三点适合条件:321zzz=0,,1321zzz321,,zzz是内接于单位圆 z =1 的一个正三角形的项点。 证:因,1321zzz所以321,,zzz都在圆周,11  zz又因321zzz=0 则,321zzz1321zzz, 所 以21zz 也 在 圆 周1z上 , 又,12121zzzz所 以以 0 ,211,zzz为 顶点的三角形是正 三角形 ,所 以向 量z3 z2 z1+z2 0 3 211zzz与之间的张角是3,同理212zzz与之间的张角也是3,于是21zz 与之间的张角是32,同理1z 与3z ,2z 与3z 之间的张角都是32,所以321,,zzz是一个正三角形的三个顶点。 5.解方程013z iiziziizkkikzz232135sin35cos1sincos23213sin3cos2,1,032sin32cos1:3213解 6.试证:当1,1时,则11。 证:111 7.设,0(cos21zzz是Z 的辐角),求证.cos2nzznn 证:01cos2cos221zzzz 则 ...

1、当您付费下载文档后,您只拥有了使用权限,并不意味着购买了版权,文档只能用于自身使用,不得用于其他商业用途(如 [转卖]进行直接盈利或[编辑后售卖]进行间接盈利)。
2、本站所有内容均由合作方或网友上传,本站不对文档的完整性、权威性及其观点立场正确性做任何保证或承诺!文档内容仅供研究参考,付费前请自行鉴别。
3、如文档内容存在违规,或者侵犯商业秘密、侵犯著作权等,请点击“违规举报”。

碎片内容

复变函数与积分变换第五版习题解答

小辰8+ 关注
实名认证
内容提供者

出售各种资料和文档

相关文档

确认删除?
VIP
微信客服
  • 扫码咨询
会员Q群
  • 会员专属群点击这里加入QQ群
客服邮箱
回到顶部