电脑桌面
添加小米粒文库到电脑桌面
安装后可以在桌面快捷访问

柯西不等式与权方和不等式VIP免费

柯西不等式与权方和不等式_第1页
1/4
柯西不等式与权方和不等式_第2页
2/4
柯西不等式与权方和不等式_第3页
3/4
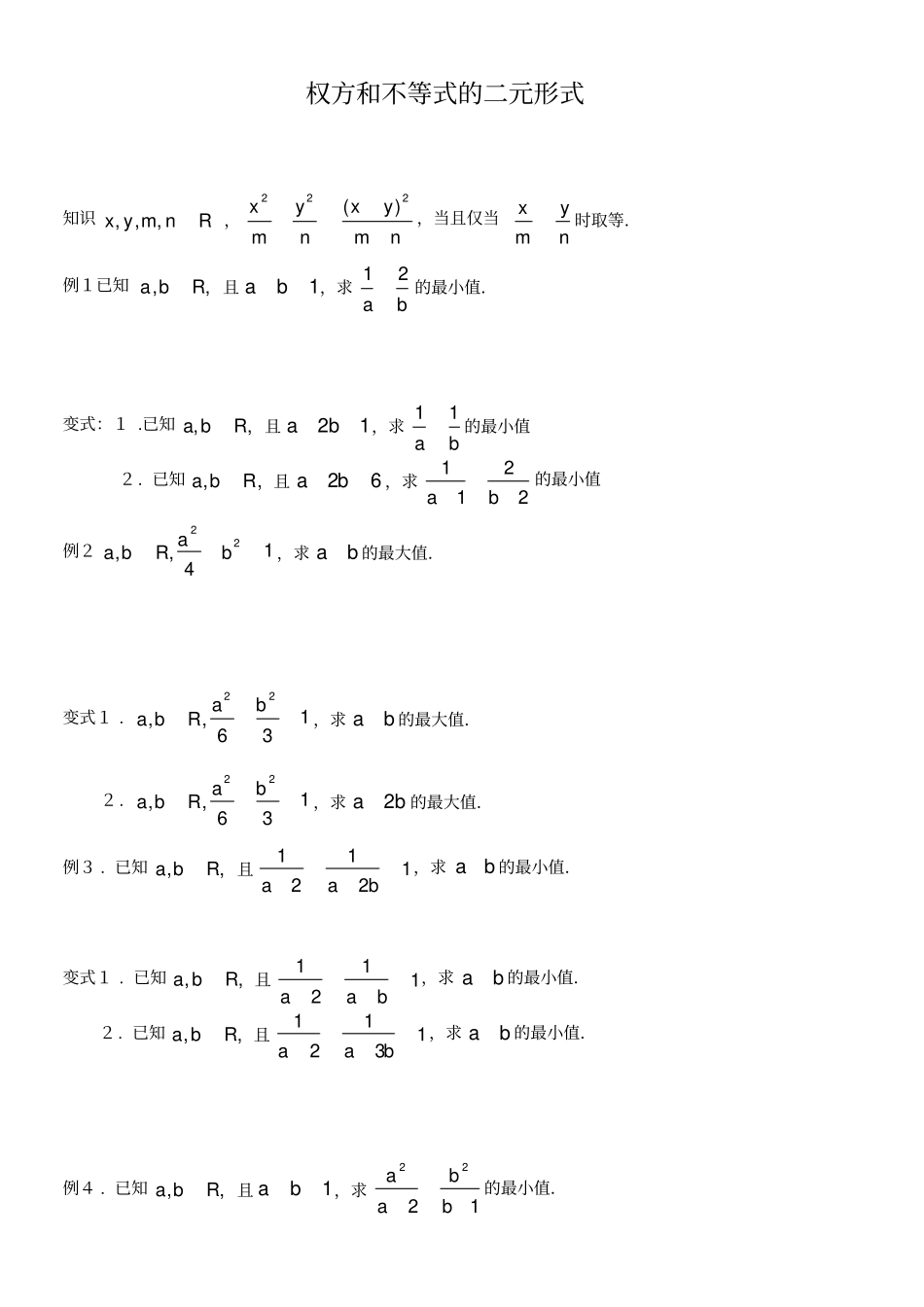
柯西不等式的二元形式知识:若,,,,Rdcba则22222)())((bdacdcba,当且仅当dbca时取等.例1已知,,Rba且1ba,求ba11的最小值.变式:1 .已知,,Rba且12ba,求ba11的最小值2. 已知,,Rba且62ba,求2211ba的最小值例24,,22baRba,求ba的最大值.变式1 . 62,,22baRba,求ba的最大值.2. 62,,22baRba,求ba2的最大值.例3 .求函数xxxf43)(的最大值.变式1 . 求函数xxxf3123)(的最大值.2. 求函数xxxf31232)(的最大值例4 .已知cba,求证:cacbba411.1.已知,,Rba且13ba,求ba11的最小值.2.已知,,Rba且13ba,求22ba的最小值3.已知2,2 ba,且102ba,求2211ba的最小值4.4,,22baRba,求ba2的最大值.5.62,,22baRba,求ba2的最大值.6.62,,22baRba,求ba2的最大值.7.求函数xxxf41)(的最大值.8.求函数xxxf261)(的最大值.9.求函数xxxf31212)(的最大值10.已知0ba,求证:abba941.11.求22cos1sin1的最小值权方和不等式的二元形式知识Rnmyx,,,,nmyxnymx222)(,当且仅当nymx时取等.例1已知,,Rba且1ba,求ba21的最小值.变式:1 .已知,,Rba且12ba,求ba11的最小值2. 已知,,Rba且62ba,求2211ba的最小值例214,,22baRba,求ba的最大值.变式1 . 136,,22baRba,求ba的最大值.2. 136,,22baRba,求ba2的最大值.例3 . 已知,,Rba且12121baa,求ba的最小值.变式1 . 已知,,Rba且1121baa,求ba的最小值.2. 已知,,Rba且13121baa,求ba的最小值.例4 . 已知,,Rba且1ba,求1222bbaa的最小值.练习:运用权方和不等式解答下列问题1.已知,,Rba且13ba,求ba11的最小值.2.已知,,Rba且13ba,求22ba的最小值3.已知2,2 ba,且102ba,求2211ba的最小值4.4,,22baRba,求ba2的最大值.5.62,,22baRba,求ba2的最大值.6.62,,22baRba,求ba2的最大值.7.求函数xxxf41)(的最大值.8.求函数xxxf261)(的最大值.9.求函数xxxf31212)(的最大值10.已知cba,求证:cacbba411.11.已知0ba,求证:abba941.12.求22cos2sin1的最小值

1、当您付费下载文档后,您只拥有了使用权限,并不意味着购买了版权,文档只能用于自身使用,不得用于其他商业用途(如 [转卖]进行直接盈利或[编辑后售卖]进行间接盈利)。
2、本站所有内容均由合作方或网友上传,本站不对文档的完整性、权威性及其观点立场正确性做任何保证或承诺!文档内容仅供研究参考,付费前请自行鉴别。
3、如文档内容存在违规,或者侵犯商业秘密、侵犯著作权等,请点击“违规举报”。

碎片内容

柯西不等式与权方和不等式

爱的疯狂+ 关注
实名认证
内容提供者

该用户很懒,什么也没介绍

相关文档

确认删除?
VIP
微信客服
  • 扫码咨询
会员Q群
  • 会员专属群点击这里加入QQ群
客服邮箱
回到顶部