电脑桌面
添加小米粒文库到电脑桌面
安装后可以在桌面快捷访问

计量经济学中相关证明

计量经济学中相关证明_第1页
1/13
计量经济学中相关证明_第2页
2/13
计量经济学中相关证明_第3页
3/13
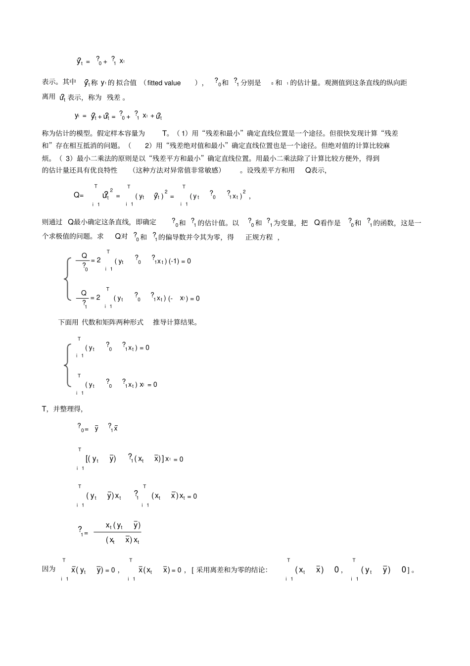
课本中相关章节的证明过程第 2 章有关的证明过程一元线性回归模型有一元线性回归模型为:yt = 0 + 1 xt + ut上式表示变量yt 和 xt 之间的真实关系。其中yt 称被解释变量(因变量),xt 称解释变量(自变量),ut 称随机误差项,0 称常数项,1称回归系数(通常未知)。上模型可以分为两部分。(1)回归函数部分,E(yt) = 0 + 1 xt, (2)随机部分,ut 。图真实的回归直线这种模型可以赋予各种实际意义,收入与支出的关系;如脉搏与血压的关系;商品价格与供给量的关系;文件容量与保存时间的关系;林区木材采伐量与木材剩余物的关系;身高与体重的关系等。以收入与支出的关系为例。假设固定对一个家庭进行观察,随着收入水平的不同,与支出呈线性函数关系。但实际上数据来自各个家庭,来自各个不同收入水平,使其他条件不变成为不可能,所以由数据得到的散点图不在一条直线上(不呈函数关系) ,而是散在直线周围,服从统计关系。随机误差项ut 中可能包括家庭人口数不同,消费习惯不同,不同地域的消费指数不同,不同家庭的外来收入不同等因素。所以,在经济问题上“控制其他因素不变”实际是不可能的。回归模型的随机误差项中一般包括如下几项内容,(1)非重要解释变量的省略,(2)人的随机行为,(3)数学模型形式欠妥,(4)归并误差(粮食的归并)(5)测量误差等。回归模型存在两个特点 。( 1)建立在某些假定条件不变前提下抽象出来的回归函数不能百分之百地再现所研究的经济过程。(2)也正是由于这些假定与抽象,才使我们能够透过复杂的经济现象,深刻认识到该经济过程的本质。通常, 线性回归函数E(yt) = 0 + 1 xt 是观察不到 的,利用样本得到的只是对E(yt) = 0 + 1 xt 的估计,即对0和1的估计。在对回归函数进行估计之前应该对随机误差项ut 做出如下假定。(1) ut 是一个随机变量,ut 的取值服从概率分布。(2) E(ut) = 0。(3) D( ut) = E[ ut - E(ut) ]2 = E( ut)2 = 2。称 ui 具有同方差性。(4) ut 为正态分布(根据中心极限定理)。以上四个假定可作如下表达:ut N (0,)。(5) Cov( ui, uj) = E[( ui - E(ui) ) ( uj - E( uj) )] = E( ui, uj) = 0, (ij )。含义是不同观测值所对应的随机项相互独立。称为 ui 的非自相关性。(6) xi 是非随机的。(7) Cov( ui, xi) = E[( ui - E(ui) ) ( xi - E( xi) )] = E[ ui (xi...

1、当您付费下载文档后,您只拥有了使用权限,并不意味着购买了版权,文档只能用于自身使用,不得用于其他商业用途(如 [转卖]进行直接盈利或[编辑后售卖]进行间接盈利)。
2、本站所有内容均由合作方或网友上传,本站不对文档的完整性、权威性及其观点立场正确性做任何保证或承诺!文档内容仅供研究参考,付费前请自行鉴别。
3、如文档内容存在违规,或者侵犯商业秘密、侵犯著作权等,请点击“违规举报”。

碎片内容

计量经济学中相关证明

文库响当当+ 关注
实名认证
内容提供者

该用户很懒,什么也没介绍

确认删除?
VIP
微信客服
  • 扫码咨询
会员Q群
  • 会员专属群点击这里加入QQ群
客服邮箱
回到顶部