电脑桌面
添加小米粒文库到电脑桌面
安装后可以在桌面快捷访问

ADIADC选型表

ADIADC选型表_第1页
1/18
ADIADC选型表_第2页
2/18
ADIADC选型表_第3页
3/18
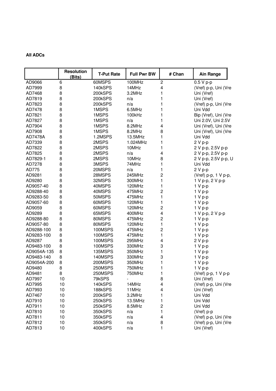
All ADCsResolution(Bits)T-Put RateFull Pw r BW# ChanAin RangeAD9066660MSPS100MHz20.5 V p-pAD79998140kSPS14MHz4(Vref) p-p, Uni (VreAD74688200kSPS3.2MHz1Uni (Vref)AD78198200kSPSn/a1Uni (Vref)AD78238200kSPSn/a1(Vref) p-p, Uni (VreAD747881MSPS6.5MHz1Uni VddAD782181MSPS100kHz1Bip (Vref), Uni (VreAD782781MSPSn/a1Uni 2.0V, Uni 2.5VAD790481MSPS8.2MHz4Uni (Vref), Uni (VreAD790881MSPS8.2MHz8Uni (Vref), Uni (VreAD7478A81.2MSPS13.5MHz1Uni VddAD733982MSPS1.024MHz12 V p-pAD782282MSPS10MHz12 V p-p, 2.5V p-pAD782582MSPSn/a42 V p-p, 2.5V p-pAD7829-182MSPS10MHz82 V p-p, 2.5V p-p, UAD727883MSPS74MHz1Uni VddAD775820MSPSn/a12 V p-pAD9281828MSPS245MHz2(Vref) p-p, 1 V p-p, AD9280832MSPS300MHz11 V p-p, 2 V p-pAD9057-40840MSPS120MHz11 V p-pAD9288-40840MSPS475MHz21 V p-pAD9283-50850MSPS475MHz11 V p-pAD9057-60860MSPS120MHz11 V p-pAD9059860MSPS120MHz21 V p-pAD9289865MSPS400MHz41 V p-p, 2 V p-pAD9288-80880MSPS475MHz21 V p-pAD9057-80880MSPS120MHz11 V p-pAD9288-1008100MSPS475MHz21 V p-pAD9283-1008100MSPS475MHz11 V p-pAD92878100MSPS295MHz42 V p-pAD9483-1008100MSPS330MHz31 V p-pAD9054A-1358135MSPS350MHz11 V p-pAD9483-1408140MSPS330MHz31 V p-pAD9054A-2008200MSPS350MHz11 V p-pAD94808250MSPS750MHz11 V p-pAD94818250MSPS750MHz1(Vref) p-p, 1 V p-pAD79971079kSPS-8Uni (Vref)AD799510140kSPS14MHz4(Vref) p-p, Uni (VreAD799310188kSPS11MHz4Uni (Vref)AD746710200kSPS3.2MHz1Uni VddAD791010250kSPS13.5MHz1Uni VddAD791110250kSPS8.5MHz2Uni VddAD781010350kSPSn/a1(Vref) p-pAD781110350kSPSn/a4(Vref) p-p, Uni (VreAD781210350kSPSn/a8(Vref) p-p, Uni (VreAD781310400kSPSn/a1Uni (Vref)AD7440101MSPS20MHz1(2Vref) p-pAD7441101MSPS20MHz1(2Vref) p-pAD7477101MSPS6.5MHz1Uni VddAD7477A101MSPS6.5MHz1Uni VddAD7912101MSPS13.5MHz2Uni VddAD7914101MSPS8.2MHz4Uni (Vref), Uni (VreAD7918101MSPS8.2MHz8Uni (Vref), Uni (VreAD7933101.5MSPS20MHz4(2Vref) p-p, 5V p-p,AD7939101.5MSPS20MHz8(2Vref) p-p, 5V p-p,AD7470101.7...

1、当您付费下载文档后,您只拥有了使用权限,并不意味着购买了版权,文档只能用于自身使用,不得用于其他商业用途(如 [转卖]进行直接盈利或[编辑后售卖]进行间接盈利)。
2、本站所有内容均由合作方或网友上传,本站不对文档的完整性、权威性及其观点立场正确性做任何保证或承诺!文档内容仅供研究参考,付费前请自行鉴别。
3、如文档内容存在违规,或者侵犯商业秘密、侵犯著作权等,请点击“违规举报”。

碎片内容

确认删除?
VIP
微信客服
  • 扫码咨询
会员Q群
  • 会员专属群点击这里加入QQ群
客服邮箱
回到顶部