电脑桌面
添加小米粒文库到电脑桌面
安装后可以在桌面快捷访问

《核反应堆物理分析》公式整理

《核反应堆物理分析》公式整理_第1页
1/10
《核反应堆物理分析》公式整理_第2页
2/10
《核反应堆物理分析》公式整理_第3页
3/10
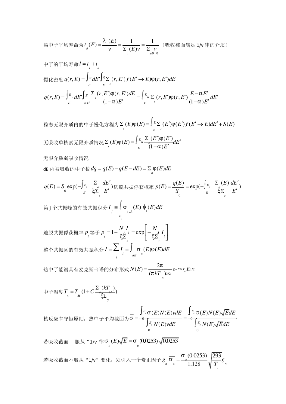
第1 章—核反应堆物理分析 中子按能量分为三类: 快中子(E﹥0.1 MeV),中能中子(1eV﹤E﹤0.1 MeV),热中子(E﹤1eV). 共振弹性散射 AZX + 01n → [A+1ZX]*→AZX + 01n 势散射 AZX + 01n →AZX + 01n 辐射俘获是最常见的吸收反应.反应式为 AZX + 01n → [A+1ZX]*→A+1ZX + γ 235U 裂变反应的反应式 23592U + 01n → [23692U]*→A1Z1X + A2Z2X +ν01n 微观截面Δ I=-σ INΔ x /IIIIN xN x 宏观截面Σ = σ N 单位体积内的原子核数0NNA 中子穿过 x 长的路程未发生核反应,而在 x 和 x+dx 之间发生首次核反应的概率 P(x)dx= e-Σ xΣ dx 核反应率定义为 Rnv 单位是中子∕m3s 中子通量密度nv  总的中子通量密度Φ00( ) ( )( )n E v E dEE dE  平均宏观截面或平均截面为( ) ( )( )EEEE dERE dE  辐射俘获截面和裂变截面之比称为俘获--裂变之比用α 表示f 有效裂变中子数1ffaf 有效增殖因数effk系统内中子的产生率系统内中子的总消失(吸收泄漏)率 四因子公式sdeffn pfkkn  kpf  中子的不泄露概率 系统内中子的吸收率系统内中子的吸收率系统内中子的泄露率 热中子利用系数f 燃料吸收的热中子被吸收的热中子总数 第2 章-中子慢化和慢化能谱 211AA  在L 系中,散射中子能量分布函数 '1 (1)(1)cos2cEE 能量分布函数与散射角分布函数一一对应(')'()ccf EE dEfd 在C系内碰撞后中子散射角在c附近 dc内的概率: 2d2 ( sin )sin d()42ccrrdfdr 对应圆环面积球面积 能量均布定律()(1)dEf EE dEE  平均对数能降2(1)11ln1ln121AAAA   当 A>10 时可采用以下近似223A  L 系内的平均散射角余弦0020cos112sin232 cos1ccccAdAAA  慢化剂的慢化能力s 慢化比s /a 由 E0 慢化到 Eth 所需的慢化时间 tS00( )112thEsssEthE dEtvEEE  热中子平均寿命为00( )11( )( )adaaEtEvE vv(吸收截面满足1/v 律的介质) 中子的平均寿命sdltt...

1、当您付费下载文档后,您只拥有了使用权限,并不意味着购买了版权,文档只能用于自身使用,不得用于其他商业用途(如 [转卖]进行直接盈利或[编辑后售卖]进行间接盈利)。
2、本站所有内容均由合作方或网友上传,本站不对文档的完整性、权威性及其观点立场正确性做任何保证或承诺!文档内容仅供研究参考,付费前请自行鉴别。
3、如文档内容存在违规,或者侵犯商业秘密、侵犯著作权等,请点击“违规举报”。

碎片内容

《核反应堆物理分析》公式整理

小辰+ 关注
实名认证
内容提供者

出售各种文档和资料

相关文档

确认删除?
VIP
微信客服
  • 扫码咨询
会员Q群
  • 会员专属群点击这里加入QQ群
客服邮箱
回到顶部