电脑桌面
添加小米粒文库到电脑桌面
安装后可以在桌面快捷访问

三角函数10道大题(带答案解析)

三角函数10道大题(带答案解析)_第1页
1/7
三角函数10道大题(带答案解析)_第2页
2/7
三角函数10道大题(带答案解析)_第3页
3/7
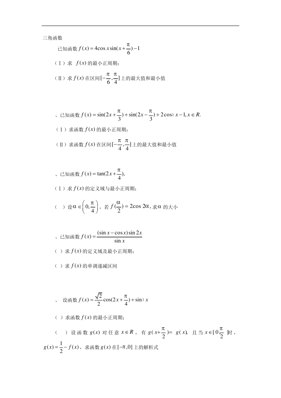
三角函数 1.已知函数( )4cos sin() 16f xxx . (Ⅰ)求 ( )f x 的最小正周期; (Ⅱ)求( )f x 在区间[,]6 4 上的最大值和最小值. 2、已知函数.,1cos2)32sin()32sin()(2Rxxxxxf (Ⅰ)求函数)(xf的最小正周期; (Ⅱ)求函数)(xf在区间]4,4[上的最大值和最小值. 3、已知函数( )tan(2),4f xx  (Ⅰ)求( )f x 的定义域与最小正周期; (II)设0, 4,若()2cos 2 ,2f求 的大小 4、已知函数xxxxxfsin2sin)cos(sin)(. (1)求)(xf的定义域及最小正周期; (2)求)(xf的单调递减区间. 5、 设函数22( )cos(2)sin24f xxx. (I)求函数( )f x 的最小正周期; (II) 设 函数( )g x 对 任 意 xR, 有()( )2g xg x, 且 当[ 0 ,]2x时 , 1( )( )2g xf x,求函数( )g x 在[,0]上的解析式. 6、函数( )sin() 16f xAx (0,0A)的最大值为3, 其图像相邻两条对称轴之间的距离为2, (1)求函数( )f x 的解析式; (2)设(0,)2 ,则()22f  ,求 的值. 7、设426f ( x )cos(x)sinxcosx  ,其中.0 (Ⅰ)求函数yf ( x ) 的值域 (Ⅱ)若 yf ( x )在区间322,  上为增函数,求  的最大值. 8、函数2( )6cos3 cos3(0)2xf xx在一个周期内的图象如图所示,A 为图象的最高点,B 、C 为图象与 x 轴的交点,且 ABC为正三角形. (Ⅰ)求 的值及函数( )f x 的值域; (Ⅱ)若08 3()5f x,且010 2(, )33x  ,求0(1)f x 的值. 9、已知 , ,a b c 分别为ABC三个内角, ,A B C 的对边,cos3 sin0aCaCbc (1)求A ; (2)若2a ,ABC的面积为3 ;求,b c . 10、在  ABC中,内角 A,B,C的对边分别为a,b,c.已知 cosA= 23 ,sinB=5 cosC. (Ⅰ)求tanC的值; (Ⅱ)若 a=2 ,求 ABC的面积. 答案 1、【思路点拨】先利用和角公式展开,再利用降幂公式、化一公式转化为正弦型函数,最后求周期及闭区间上的最值. 【精讲精析】(Ⅰ)因为( )4cos sin() 16f xxx 314cos (sincos ) 122xxx 23sin 22cos1xx3sin 2cos 22sin(2)6xxx , 所以(...

1、当您付费下载文档后,您只拥有了使用权限,并不意味着购买了版权,文档只能用于自身使用,不得用于其他商业用途(如 [转卖]进行直接盈利或[编辑后售卖]进行间接盈利)。
2、本站所有内容均由合作方或网友上传,本站不对文档的完整性、权威性及其观点立场正确性做任何保证或承诺!文档内容仅供研究参考,付费前请自行鉴别。
3、如文档内容存在违规,或者侵犯商业秘密、侵犯著作权等,请点击“违规举报”。

碎片内容

三角函数10道大题(带答案解析)

确认删除?
VIP
微信客服
  • 扫码咨询
会员Q群
  • 会员专属群点击这里加入QQ群
客服邮箱
回到顶部