电脑桌面
添加小米粒文库到电脑桌面
安装后可以在桌面快捷访问

例说离心率的计算策略

例说离心率的计算策略_第1页
1/2
例说离心率的计算策略_第2页
2/2
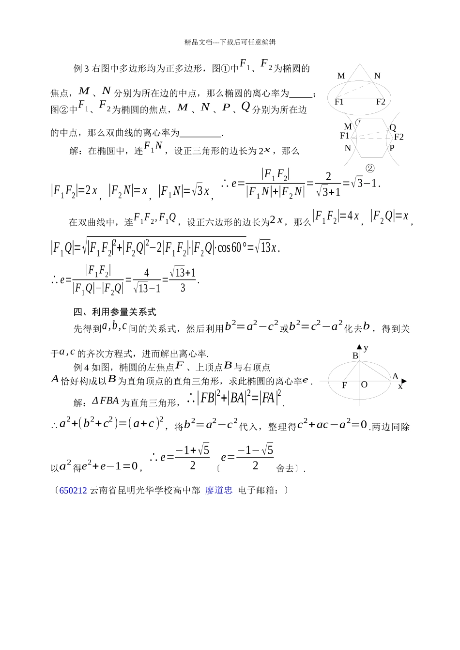
精品文档---下载后可任意编辑例说离心率的计算策略650212 云南省昆明光华学校高中部 廖道忠一、利用根本参量在椭圆中,离心率e=ca=√1−b2a2 ,在双曲线中,e= ca=√1+ b2a2 .例 1〔1〕椭圆上的动点P 到椭圆的一个焦点的距离的最大值与最小值分别为8,2,那么该椭圆的离心率为 .〔2〕双曲线的中心在原点,焦点在坐标轴上,且两条渐近线的方程为3 x+4 y=0,3x−4 y=0,那么双曲线的离心率为 .解:〔1〕由椭圆的性质得{a+c=8¿¿¿¿∴a=5,c=3 ,∴e=35 .〔2〕两渐近线即y=± 34 x.当焦点在x 轴上时,有ba=34 ,e=√1+ b2a2= 54 ;当焦点在 y 轴上时,有ba=43 ,e=√1+ b2a2= 53 .故填“54 或53 〞.二、利用第二定义由第二定义,椭圆、双曲线离心率即曲线上的动点到焦点的距离与到对应的准线的距离之比.例 2 动点M (x, y )满足√(x−1)2+( y−1)2=|√3 x−y+2|,那么M 的轨迹曲线的离心率为 .解:由√(x−1)2+( y−1)2=|√3 x−y+2|得√(x−1)2+( y−1)2=2⋅|√3x−y+2|2,即动点M (x, y )到定点(1,1)的距离等于M 到定直线√3 x−y+2=0 的距离的 2 倍,∴M 的轨迹为双曲线,且离心率为 2.三、利用“焦点三角形〞我们把椭圆或双曲线上的一点P 与两焦点F1、F2构成的三角形PF1F2称作“焦点三角形〞.在椭圆中,e=|F1 F2||PF1|+|PF2|;在双曲线中,e=|F1 F2|||PF1|−|PF2||.F1F2NM①QNMPF2F1②yBAFxO精品文档---下载后可任意编辑例 3 右图中多边形均为正多边形,图①中F1、F2为椭圆的焦点,M 、N 分别为所在边的中点,那么椭圆的离心率为 ;图②中F1、F2为椭圆的焦点,M 、N 、P 、Q 分别为所在边的中点,那么双曲线的离心率为 .解:在椭圆中,连F1N ,设正三角形的边长为 2x ,那么|F1F2|=2 x ,|F2N|=x,|F1N|=√3 x ,∴e=|F1 F2||F1 N|+|F2 N|=2√3+1=√3−1.在双曲线中,连F1F2, F1Q ,设正六边形的边长为2 x ,那么|F1F2|=4 x ,|F2Q|=x ,|F1Q|=√|F1F2|2+|F2Q|2−2|F1F2|⋅|F2Q|⋅cos60°=√13x.∴e=|F1F2||F1Q|−|F2Q|=4√13−1=√13+13.四、利用参量关系式先得到a,b,c 间的关系式,然后利用b2=a2−c2或b2=c2−a2化去b ,得到关于a,c 的齐次方程式,进而解出离心率.例 4 如图,椭圆的左焦点F 、上顶点B 与右顶点A 恰好构成以B 为直角顶点的直角三角形,求此椭圆的离心率e .解:Δ FBA 为直角三角形,∴|FB|2+|BA|2=|FA|2.∴a2+(b2+c2)=(a+c)2,将b2=a2−c2代入,整理得c2+ac−a2=0 .两边同除以a2得e2+e−1=0 ,∴e=−1+√52〔e=−1−√52舍去〕.〔650212 云南省昆明光华学校高中部 廖道忠 电子邮箱:〕

1、当您付费下载文档后,您只拥有了使用权限,并不意味着购买了版权,文档只能用于自身使用,不得用于其他商业用途(如 [转卖]进行直接盈利或[编辑后售卖]进行间接盈利)。
2、本站所有内容均由合作方或网友上传,本站不对文档的完整性、权威性及其观点立场正确性做任何保证或承诺!文档内容仅供研究参考,付费前请自行鉴别。
3、如文档内容存在违规,或者侵犯商业秘密、侵犯著作权等,请点击“违规举报”。

碎片内容

例说离心率的计算策略

确认删除?
VIP
微信客服
  • 扫码咨询
会员Q群
  • 会员专属群点击这里加入QQ群
客服邮箱
回到顶部