电脑桌面
添加小米粒文库到电脑桌面
安装后可以在桌面快捷访问

放缩法证明数列不等式

放缩法证明数列不等式_第1页
1/8
放缩法证明数列不等式_第2页
2/8
放缩法证明数列不等式_第3页
3/8
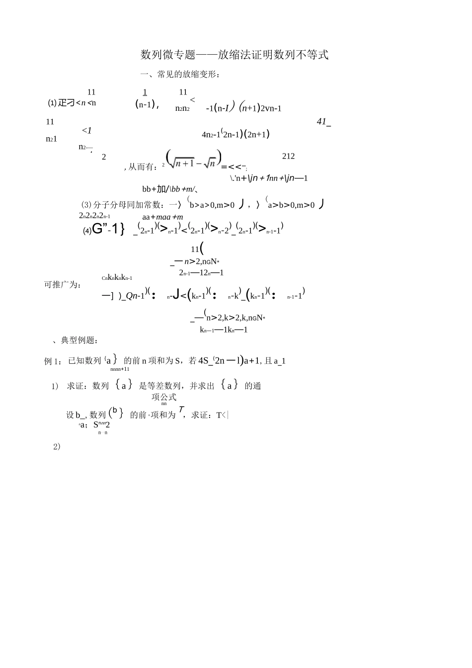
2)数列微专题——放缩法证明数列不等式一、常见的放缩变形:41_4n2-1(2n-1)(2n+1)11<1n21n2-—411⑴ 疋刁a>0,m>0 丿,〉(a>b>0,m>0 丿aa+maa+m2n2n2n2n-1⑷G”-1}_(2n-1)(>n-1)<(2n-1)(>n-2)_(2n-1)(>n-1-1)11(_一 n>2,nGN*2n-1—12n—1可推广为:Cnknknkn-1一])_Qn-1)(:n-J<(kn-1)(:n-k)_(kn-1)(:n-1-1)_—(n>2,k>2,k,nGN*kn—1—1kn—1、典型例题:例 1:已知数列{a}的前 n 项和为 S,若 4S_(2n 一 l)a+1,且 a_1nnnn+111)求证:数列{a}是等差数列,并求出{a}的通项公式nn设 b_,数列(b}的前 n项和为 T,求证:T<|na;Snnn2n••n1例 2:设数列{a}满足:a=1,a=3a,neN*,设 S 为数列(b}的前 n项和,已知 b 丰 0,n1n+1nnn12b—b=S-S,neN*n11n(1) 求数列{a},{b}的通项公式nn1113(2) 求证:对任意的 neN*且 n>2,有++•••+<-a 一 ba 一 ba 一 b22233nn且 a+丄=2S,neN*nan(1) 求证:数列{S2}是等差数列n例 3:已知正项数列{a}的前 n项和为 S,(2)记数列 b=2S3,T=+-—nnnb1+•••+—,bb2n131证明亠右<Tn<十n已知数列{a}满足 a=2,an1n+1(1)求证:数列是等比数列,并求出数列{a}的通项公式In2Inn(2)设 c=,求证:na17c+c+••・+cV-12n24例 4:例 5:已知数列{a}满足 a=,a=i(n>2,neN)n14n(_1)na-2n 一 1(1) 试判断数列—[+(_1)nan(2)设 b 二 asin,数列{b}的前 n 项和为 T,求证:对任意的 neN*,T<-nn2nnn7>是否为等比数列,并说明理放缩法证明数列不等式教师版一、基础知识:在前面的章节中,也介绍了有关数列不等式的内容,在有些数列的题目中,要根据不等式的性质通过放缩,将问题化归为我们熟悉的内容进行求解。本节通过一些例子来介绍利用放缩法证明不等式的技巧1、放缩法证明数列不等式的理论依据——不等式的性质:(1) 传递性:若 a>b,b>c,则 a>c(此性质为放缩法的基础,即若要证明 a>c,但无法直接证明,则可寻找一个中间量 b,使得 a>b,从而将问题转化为只需证明 b>c 即可)(2) 若 a>b,c>d,则 a+c>b+d,此性质可推广到多项求和:若 a>f(1),a>f(2),…,a>f(n),贝 y:a+a+・・・+a>f(1)+f(2)+・・・+f(n)12n12n(3) 若需要用到乘法,则对应性质为:若 a>b>0,c>d>0,则 ac>bd,此性质也可推广到多项连乘,但要求涉及...

1、当您付费下载文档后,您只拥有了使用权限,并不意味着购买了版权,文档只能用于自身使用,不得用于其他商业用途(如 [转卖]进行直接盈利或[编辑后售卖]进行间接盈利)。
2、本站所有内容均由合作方或网友上传,本站不对文档的完整性、权威性及其观点立场正确性做任何保证或承诺!文档内容仅供研究参考,付费前请自行鉴别。
3、如文档内容存在违规,或者侵犯商业秘密、侵犯著作权等,请点击“违规举报”。

碎片内容

放缩法证明数列不等式

您可能关注的文档

wxg+ 关注
实名认证
内容提供者

该用户很懒,什么也没介绍

确认删除?
VIP
微信客服
  • 扫码咨询
会员Q群
  • 会员专属群点击这里加入QQ群
客服邮箱
回到顶部