电脑桌面
添加小米粒文库到电脑桌面
安装后可以在桌面快捷访问

中考数学计算题练习VIP免费

中考数学计算题练习_第1页
1/4
中考数学计算题练习_第2页
2/4
中考数学计算题练习_第3页
3/4
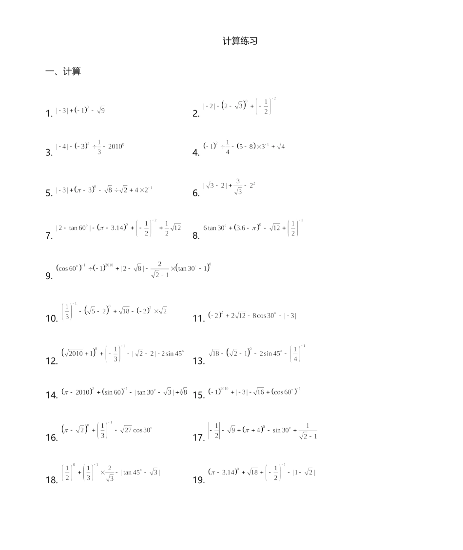
计算练习一、计算1.2.3.4.5.6.7.8.9.10.11.12.13.14.15.16.17.18.19.*20.*21.二、化简并求值22.,其中23.,其中24.已知,求25.,其中26.,其中27.,其中28.,其中三、解方程、方程组和不等式组31.32.33.34.35.36.37.38.39.*40.已知是一元二次方程的一个解,且,求的值41.已知,且,求k的取值范围四、解不等式组;1、已知关于的不等式的正整数解是1、2、3,则取何值.2、解不等式组:3、解不等式组,并把解集在数轴上表示出来.4、试确定实数a的取值范围,使不等式组恰有两个整数解.5、解不等式组,并把解集在数轴上表示出来.6、解不等式组.7、求满足不等式组的整数解8、若关于的不等式组的解集是,求的取值范围.9、已知关于的不等式组的解集为,则的值为多少。10、若关于的不等式组有解,则实数的取值范围是11、关于的不等式的解是,则关于的不等式的解为多少?12、如果不等式的正整数解是1,2,3,那么的取值范围是多少?13、若不等式组有5个整数解则的取值范围是.14、已知关于、的方程组的解、的值均为正数,求的取值范围。15、已知方程3(x-2a)+2=x-a+1的解适合不等式2(x-5)≥8a,求a的取值范围

1、当您付费下载文档后,您只拥有了使用权限,并不意味着购买了版权,文档只能用于自身使用,不得用于其他商业用途(如 [转卖]进行直接盈利或[编辑后售卖]进行间接盈利)。
2、本站所有内容均由合作方或网友上传,本站不对文档的完整性、权威性及其观点立场正确性做任何保证或承诺!文档内容仅供研究参考,付费前请自行鉴别。
3、如文档内容存在违规,或者侵犯商业秘密、侵犯著作权等,请点击“违规举报”。

碎片内容

中考数学计算题练习

最好的沉淀+ 关注
实名认证
内容提供者

行业文档

相关文档

确认删除?
VIP
微信客服
  • 扫码咨询
会员Q群
  • 会员专属群点击这里加入QQ群
客服邮箱
回到顶部