电脑桌面
添加小米粒文库到电脑桌面
安装后可以在桌面快捷访问

云南省2010届高三数学二轮复习专题教案(三十五)

云南省2010届高三数学二轮复习专题教案(三十五)_第1页
1/6
云南省2010届高三数学二轮复习专题教案(三十五)_第2页
2/6
云南省2010届高三数学二轮复习专题教案(三十五)_第3页
3/6
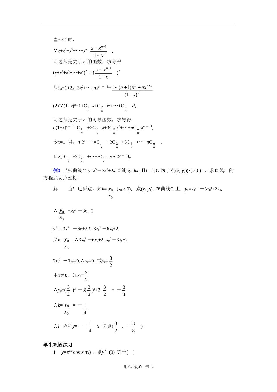
云 南 省 2010 届 高 三 二 轮 复 习 数 学 专 题 教 案( 三 十 五 )题目 高中数学复习专题讲座导数的运算法则及基本公式应用高考要求 导数是中学限选内容中较为重要的知识,本节内容主要是在导数的定义,常用求等公式 四则运算求导法则和复合函数求导法则等问题上对考生进行训练与指导 重难点归纳 1 深刻理解导数的概念,了解用定义求简单的导数 xy表示函数的平均改变量,它是Δx的函数,而f′(x0) 表示一个数值,即f′(x)=xyxlim0,知道导数的等价形式 )()()(lim)()(lim0000000xfxxxfxfxxfxxfxxx 2 求导其本质是求极限,在求极限的过程中,力求使所求极限的结构形式转化为已知极限的形式,即导数的定义,这是顺利求导的关键 3 对于函数求导,一般要遵循先化简,再求导的基本原则,求导时,不但要重视求导法则的应用,而且要特别注意求导法则对求导的制约作用,在实施化简时,首先必须注意变换的等价性,避免不必要的运算失误 4 复合函数求导法则,像链条一样,必须一环一环套下去,而不能丢掉其中的一环 必须正确分析复合函数是由哪些基本函数经过怎样的顺序复合而成的,分清其间的复合关系 典型题例示范讲解 例1 求函数的导数 )1()3( )sin()2( cos)1(1)1(2322xfyxbaxyxxxy命题意图 本题3 个小题分别考查了导数的四则运算法则,复合函数求导的方法,以及抽象函数求导的思想方法 这是导数中比较典型的求导类型 知识依托 解答本题的闪光点是要分析函数的结构和特征,挖掘量的隐含条件,将问题转化为基本函数的导数 错解分析 本题难点在求导过程中符号判断不清,复合函数的结构分解为基本函数出差错 技巧与方法 先分析函数式结构,找准复合函数的式子特征,按照求导法则进行求导 22222(1) (1)cos(1)[(1)cos ](1):(1)cosxxxxxxyxx解用心 爱心 专心2222222222222222(1)cos(1)[(1) cos(1)(cos ) ](1) cos(1)cos(1)[2 cos(1)sin ](1) cos(21)cos(1)(1)sin(1) cosxxxxxxxxxxxxxxxxxxxxxxxxxx(2)解 y=μ3,μ=ax-bsin2ωx,μ=av -byv=x,y=sinγ γ=ωxy′=(μ3)′=3μ2·μ′=3μ2(av -by)′=3μ2(av′-by′)=3μ2(av′ -by′γ′)=3(ax -bsin2ωx)2(a -bωsin2ωx)(3)解法一 设y=f(μ),μ=v,v=x2+1, 则y′x=y′μμ′v·v′x=f...

1、当您付费下载文档后,您只拥有了使用权限,并不意味着购买了版权,文档只能用于自身使用,不得用于其他商业用途(如 [转卖]进行直接盈利或[编辑后售卖]进行间接盈利)。
2、本站所有内容均由合作方或网友上传,本站不对文档的完整性、权威性及其观点立场正确性做任何保证或承诺!文档内容仅供研究参考,付费前请自行鉴别。
3、如文档内容存在违规,或者侵犯商业秘密、侵犯著作权等,请点击“违规举报”。

碎片内容

云南省2010届高三数学二轮复习专题教案(三十五)

您可能关注的文档

文章天下+ 关注
实名认证
内容提供者

各种文档应有尽有

相关文档

确认删除?
VIP
微信客服
  • 扫码咨询
会员Q群
  • 会员专属群点击这里加入QQ群
客服邮箱
回到顶部