电脑桌面
添加小米粒文库到电脑桌面
安装后可以在桌面快捷访问

中考数学——数形结合专题

中考数学——数形结合专题_第1页
1/17
中考数学——数形结合专题_第2页
2/17
中考数学——数形结合专题_第3页
3/17
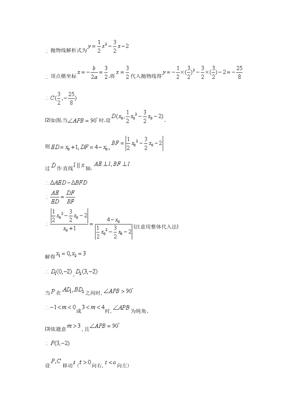
第九讲数形结合思想【中考热点分析】 数形结合思想就是数学中重要得思想方法,它根据数学问题中得条件与结论之间得内在联系,既分析其数量关系,又揭示其几何意义,使数量关系与几何图形巧妙得结合起来,并充分利用这种结合,探求解决问题得思路,使问题得以解决得思考方法。几何图形得形象直观,便于理解;代数方法得一般性,解题过程得操作性强,便于把握。【经典考题讲练】例 1、(2025 衢州)如图,已知直线分别交 x 轴、y 轴于点 A、B,P 就是抛物线得一个动点,其横坐标为 a,过点 P 且平行于 y 轴得直线交直线于点 Q,则当 PQ=BQ 时,a 得值就是 .例 2、(2025•广州)已知平面直角坐标系中两定点 A(-1,0),B(4,0),抛物线()过点 A、B,顶点为 C.点 P(m,n)(n<0)为抛物线上一点.(1)求抛物线得解析式与顶点 C 得坐标.(2)当∠APB 为钝角时,求 m 得取值范围.(3)若,当∠APB 为直角时,将该抛物线向左或向右平移 t()个单位,点 P、C 移动后对应得点分别记为、,就是否存在 t,使得 首尾依次连接 A、B、、所构成得多边形得周长最短?若存在,求 t 值并说明抛物线平移得方向;若不存在,请说明理由.解析:(1)待定系数法求解析式即可,求得解析式后转换成顶点式即可.(2)因为 AB 为直径,所以当抛物线上得点 P 在⊙C 得内部时,满足∠APB 为钝角,所以-1<m<0,或 3<m<4.(3)左右平移时,使 A′D+DB″最短即可,那么作出点 C′关于 x 轴对称点得坐标为 C″,得到直线 P″C″得解析式,然后把 A 点得坐标代入即可.答案:(1)解:依题意把得坐标代入得: ;解得: 抛物线解析式为顶点横坐标,将代入抛物线得(2)如图,当时,设,则过作直线轴, (注意用整体代入法)解得,当在之间时,或时,为钝角、(3)依题意,且设移动 (向右,向左)连接则又得长度不变四边形周长最小,只需最小即可将沿轴向右平移 5 各单位到处沿轴对称为∴ 当 且 仅 当、 B 、三 点 共 线 时 ,最 小 , 且 最 小 为, 此 时,设过得直线为,代入 ∴ 即将代入,得:,解得:∴当,P、C 向左移动单位时,此时四边形 ABP’C’周长最小。例 3、(2025 杭州)如图,AE 切⊙O 于点 E,AT 交⊙O 于点 M,N,线段 OE 交 AT 于点C,OB⊥AT 于点 B,已知∠EAT=30°,,.(1)求∠COB 得度数;(2)求⊙O 得半径 R;(3)点 F 在⊙O 上(就是劣弧),且 EF=5,把△OBC 经过平移、旋转与相似变换后 ,使它得两个顶点分别与点 E,F 重合.在 EF 得同一侧,这样得三角形共有多少个...

1、当您付费下载文档后,您只拥有了使用权限,并不意味着购买了版权,文档只能用于自身使用,不得用于其他商业用途(如 [转卖]进行直接盈利或[编辑后售卖]进行间接盈利)。
2、本站所有内容均由合作方或网友上传,本站不对文档的完整性、权威性及其观点立场正确性做任何保证或承诺!文档内容仅供研究参考,付费前请自行鉴别。
3、如文档内容存在违规,或者侵犯商业秘密、侵犯著作权等,请点击“违规举报”。

碎片内容

中考数学——数形结合专题

您可能关注的文档

确认删除?
VIP
微信客服
  • 扫码咨询
会员Q群
  • 会员专属群点击这里加入QQ群
客服邮箱
回到顶部