电脑桌面
添加小米粒文库到电脑桌面
安装后可以在桌面快捷访问

高中数学:2.1.1 函数 学案1新人教B必修4

高中数学:2.1.1 函数 学案1新人教B必修4_第1页
1/3
高中数学:2.1.1 函数 学案1新人教B必修4_第2页
2/3
高中数学:2.1.1 函数 学案1新人教B必修4_第3页
3/3
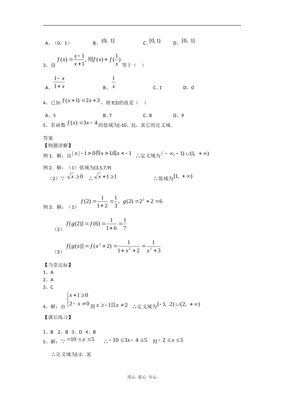
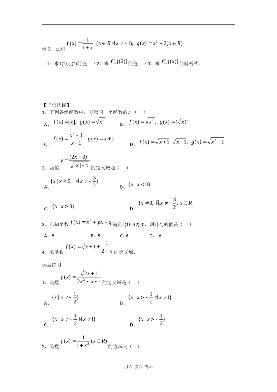
2.1.1 函数 学案(1)【预习要点及要求】1.理解函数的概念;2.会用集合与对应语言来刻画函数,了解构成函数的要素.【知识再现】在初中,已学习了变是与函数的概念,在一个变化过程中有两个变量 x 和 y,如果给定一个 x 值,相应地就确定唯一的一个 y 值,那么我们就称 y 是 x 的函数,其中 x 是自变量,y 是因变量.【概念探究】 自学课本 P29—P31,填充以下空格.1、设集合 A 是一个非空的实数集,对于 A 内 ,按照确定的对应法则 f,都有 与它对应,则这种对应关系叫做集合 A 上的一个函数,记作 .2、对函数Axxfy),(,其中 x 叫做 ,x 的取值范围(数值 A)叫做这个函数的 ,所有函数值的集合}),(|{Axxfyy叫做这个函数的 ,函数 y=f(x) 也经常写为 .3、因为函数的值域被 完全确定,所以确定一个函数只需要 .4、依函数定义,要检验两个给定的变量之间是否存在函数关系,只要检验:① ;② .5、设 a, b 是两个实数,且 a

1、当您付费下载文档后,您只拥有了使用权限,并不意味着购买了版权,文档只能用于自身使用,不得用于其他商业用途(如 [转卖]进行直接盈利或[编辑后售卖]进行间接盈利)。
2、本站所有内容均由合作方或网友上传,本站不对文档的完整性、权威性及其观点立场正确性做任何保证或承诺!文档内容仅供研究参考,付费前请自行鉴别。
3、如文档内容存在违规,或者侵犯商业秘密、侵犯著作权等,请点击“违规举报”。

碎片内容

高中数学:2.1.1 函数 学案1新人教B必修4

您可能关注的文档

文章天下+ 关注
实名认证
内容提供者

各种文档应有尽有

确认删除?
微信客服
  • 扫码咨询
会员Q群
  • 会员专属群点击这里加入QQ群