电脑桌面
添加小米粒文库到电脑桌面
安装后可以在桌面快捷访问

数分选讲讲稿第19讲VIP免费

数分选讲讲稿第19讲_第1页
1/10
数分选讲讲稿第19讲_第2页
2/10
数分选讲讲稿第19讲_第3页
3/10
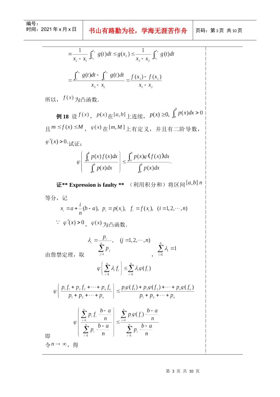
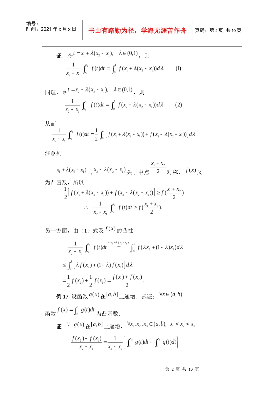
第1页共10页编号:时间:2021年x月x日书山有路勤为径,学海无涯苦作舟页码:第1页共10页讲授内容备注第十九讲3、在不等式两端取变限积分证明新的不等式例15证明:当时,证已知,(,只有时,等号成立)在此式两端同时取上的积分,得再次取上的积分,得第三次取上的积分,得所以上式再在上的积分,得即再在上的积分,得例16设是上连续的凸函数.试证:,有3学时几何解释:第2页共10页第1页共10页编号:时间:2021年x月x日书山有路勤为径,学海无涯苦作舟页码:第2页共10页证令,则同理,令,则从而注意到与关于中点对称,又为凸函数,所以另一方面,由(1)式及的凸性例17设函数在上递增.试证:函数为凸函数.证在上递增,第3页共10页第2页共10页编号:时间:2021年x月x日书山有路勤为径,学海无涯苦作舟页码:第3页共10页所以,为凸函数.例18设,在上连续,且,在上有定义,并且有二阶导数,试证:证**Expressionisfaulty**(利用积分和)将区间等分,记,为凸函数.由詹禁定理,取,即令,得第4页共10页第3页共10页编号:时间:2021年x月x日书山有路勤为径,学海无涯苦作舟页码:第4页共10页证**Expressionisfaulty**(利用公式)记则注意,在上式中,令,然后两边乘以,得在上取积分即其中第5页共10页第4页共10页编号:时间:2021年x月x日书山有路勤为径,学海无涯苦作舟页码:第5页共10页§4.5不等式一、不等式及不等式1.不等式设为任意实数,则(不等式)其中等号当且仅当与成比例时成立.证**Expressionisfaulty**(判别式法)上式是关于的二次三项式,保持非负,故判别式证**Expressionisfaulty**(配方法)因此,不等式成立.方法**Expressionisfaulty**可推广.第6页共10页第5页共10页编号:时间:2021年x月x日书山有路勤为径,学海无涯苦作舟页码:第6页共10页等号成立当且仅当,.证**Expressionisfaulty**(利用二次型)即关于的二次型,非负定,因此即2.不等式设在上可积,则若在上连续,其中等号当且仅当存在常数,使得时成立.(不同时为零)3.不等式的应用例1已知,在上连续,为任意实数.求证:证第一项应用不等式:不等式的积分形式称为不等式第7页共10页第6页共10页编号:时间:2021年x月x日书山有路勤为径,学海无涯苦作舟页码:第7页共10页同理(1)+(2):例2设在上有连续的导数,试证:证令则由,知因此,例3设在上有连续的阶导数,且.求证:其中证先证明的情况.此时第二项积分第8页共10页第7页共10页编号:时间:2021年x月x日书山有路勤为径,学海无涯苦作舟页码:第8页共10页设在上有连续的导数,下证令由不等式:两端同时积分两边同时开方:对一般情况,令例4设,在上连续,不恒为零,有值大于零.第9页共10页第8页共10页编号:时间:2021年x月x日书山有路勤为径,学海无涯苦作舟页码:第9页共10页正的下界.记试证:证只需证明存在.先证单调增即再证有界.因为在上连续,所以使得故既然单调有界,存在极限.二、平均值不等式第10页共10页第9页共10页编号:时间:2021年x月x日书山有路勤为径,学海无涯苦作舟页码:第10页共10页基本形式:对任意个实数,恒有(即几何平均值算术平均值)其中等号成立当且仅当例5设正值函数在上连续.试证:证由条件知在上可积,将等分,作积分和

1、当您付费下载文档后,您只拥有了使用权限,并不意味着购买了版权,文档只能用于自身使用,不得用于其他商业用途(如 [转卖]进行直接盈利或[编辑后售卖]进行间接盈利)。
2、本站所有内容均由合作方或网友上传,本站不对文档的完整性、权威性及其观点立场正确性做任何保证或承诺!文档内容仅供研究参考,付费前请自行鉴别。
3、如文档内容存在违规,或者侵犯商业秘密、侵犯著作权等,请点击“违规举报”。

碎片内容

数分选讲讲稿第19讲

中小学资料+ 关注
实名认证
内容提供者

精美课件,值得下载

相关标签

确认删除?
VIP
微信客服
  • 扫码咨询
会员Q群
  • 会员专属群点击这里加入QQ群
客服邮箱
回到顶部