电脑桌面
添加小米粒文库到电脑桌面
安装后可以在桌面快捷访问

第5课时二次根式VIP免费

第5课时二次根式_第1页
1/3
第5课时二次根式_第2页
2/3
第5课时二次根式_第3页
3/3
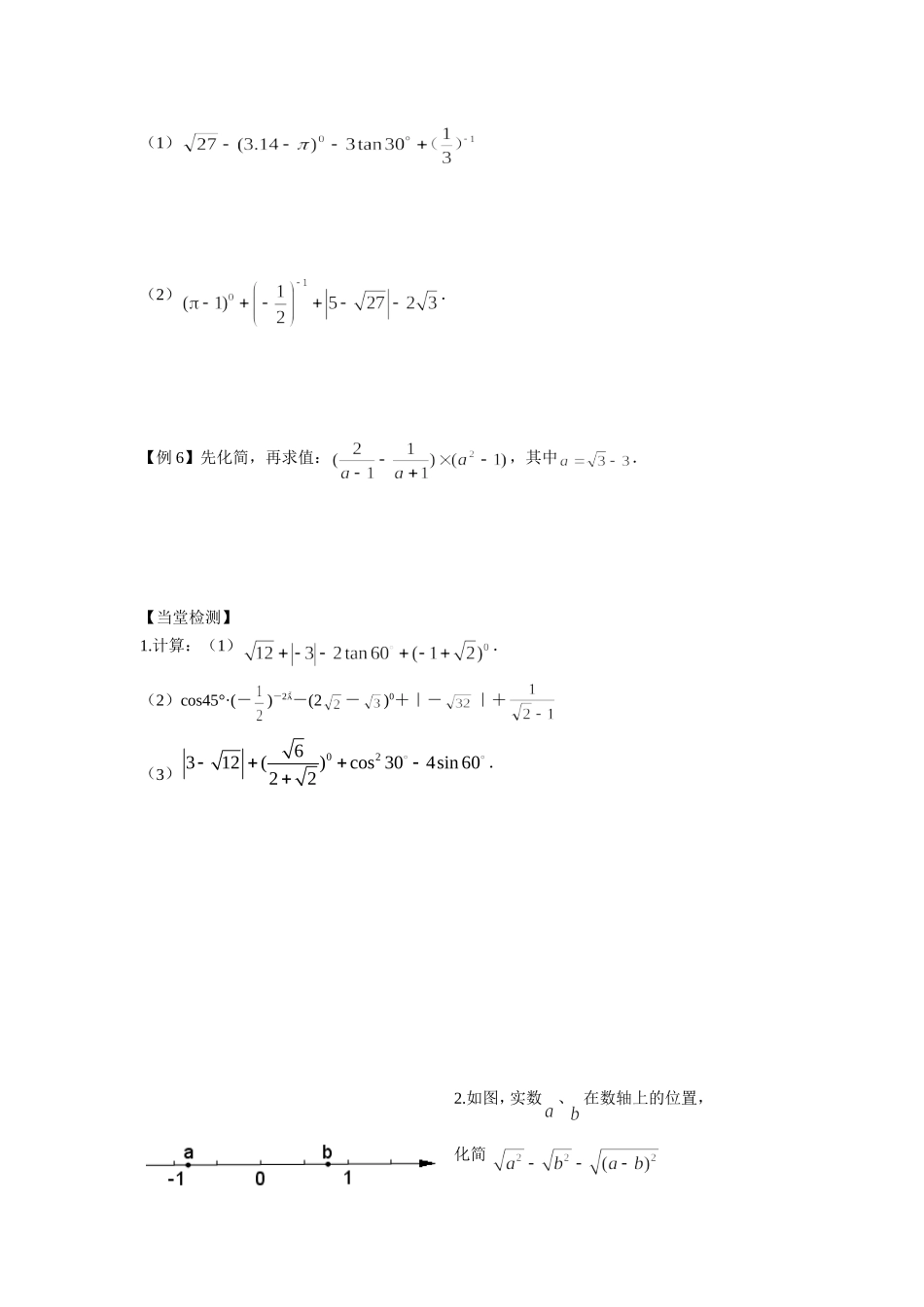
第5课时二次根式【知识梳理】1.二次根式:(1)定义:____________________________________叫做二次根式.2.二次根式的化简:3.最简二次根式应满足的条件:(1)被开方数中不含有能开得尽的因数或因式.(2)根号内不含分母(3)分母上没有根号4.同类二次根式:几个二次根式化成最简二次根式以后,如果被开方数相同,这几个二次根式就叫做同类二次根式.5.二次根式的乘法、除法公式:(1)(2)6..二次根式运算注意事项:(1)二次根式相加减,先把各根式化为最简二次根式,再合并同类二次根式,防止:①该化简的没化简;②不该合并的合并;③化简不正确;④合并出错.(2)二次根式的乘法除法常用乘法公式或除法公式来简化计算,运算结果一定写成最简二次根式或整式.【思想方法】非负性的应用【例题精讲】【例1】要使式子有意义,的取值范围是()A.B.C.D.【例2】估计132202的运算结果应在().A.6到7之间B.7到8之间C.8到9之间D.9到10之间【例3】若实数满足,则的值是.【例4】如图,A,B,C,D四张卡片上分别写有四个实数,从中任取两张卡片.ABCD(1)请列举出所有可能的结果(用字母A,B,C,D表示);(2)求取到的两个数都是无理数的概率.【例5】计算:思考与收获思考与收获(1)(2).【例6】先化简,再求值:,其中.【当堂检测】1.计算:(1).(2)cos45°·(-)-2-(2-)0+|-|+(3)026312()cos304sin6022.2.如图,实数、在数轴上的位置,化简

1、当您付费下载文档后,您只拥有了使用权限,并不意味着购买了版权,文档只能用于自身使用,不得用于其他商业用途(如 [转卖]进行直接盈利或[编辑后售卖]进行间接盈利)。
2、本站所有内容均由合作方或网友上传,本站不对文档的完整性、权威性及其观点立场正确性做任何保证或承诺!文档内容仅供研究参考,付费前请自行鉴别。
3、如文档内容存在违规,或者侵犯商业秘密、侵犯著作权等,请点击“违规举报”。

碎片内容

第5课时二次根式

您可能关注的文档

精品文库+ 关注
实名认证
内容提供者

小学学习各类资料大全

相关文档

确认删除?
VIP
微信客服
  • 扫码咨询
会员Q群
  • 会员专属群点击这里加入QQ群
客服邮箱
回到顶部