电脑桌面
添加小米粒文库到电脑桌面
安装后可以在桌面快捷访问

高中数学 第一章 导数及其应用 1.2 导数的计算(第3课时)教案 新人教A版选修2-2-新人教A版高二选修2-2数学教案VIP免费

高中数学 第一章 导数及其应用 1.2 导数的计算(第3课时)教案 新人教A版选修2-2-新人教A版高二选修2-2数学教案_第1页
1/5
高中数学 第一章 导数及其应用 1.2 导数的计算(第3课时)教案 新人教A版选修2-2-新人教A版高二选修2-2数学教案_第2页
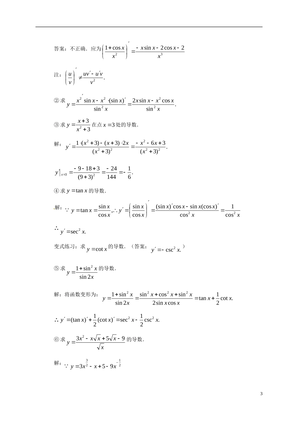
2/5
高中数学 第一章 导数及其应用 1.2 导数的计算(第3课时)教案 新人教A版选修2-2-新人教A版高二选修2-2数学教案_第3页
3/5
导数的计算(第3课时)一、教学目标:1.掌握两个函数的商的求导法则.2.能正确运用已学过的导数公式和导数四则运算法则,求某些简单函数的导数.3.能运用导数的几何意义与物理意义,解决有关的曲线、直线问题及物体运动问题.二、教学重点:掌握商的求导法则,灵活运用求导的四则运算法则;教学难点:商的求导法则与积的求导法则联系与区别的理解.三、教学用具:投影仪四、教学过程1.复习引入(1)复习两个函数的和(差)的求导法则:vuvu)((2)学生练习:求函数xxysin2的导数.(3)复习两个函数的积的求导法则:.)(vuvuuv(4)学生练习:求函数xxysin2的导数.(5)问题:如何求函数xxysin2的导数?2.新授1.法则3两个函数的商的导数,等于分子的导数与分母的积,减去分母的导数与分子的积,再除以分母的平方.)0(2vvvuvuvu回顾导数定义:xxfxxfxyxfxx)()(limlim)(00证明:设.0)(,)()()(xvxvxuxfy1则)()()()()()()()()()(xvxxvxxvxuxvxxuxvxuxxvxxuy)()()()()()()()(xvxxvxvxxvxuxvxuxxu∴)()()()()()()()(xvxxvxxvxxvxuxvxxuxxuxy因为)(xv在点x处可导,所以)(xv在点x处连续.于是当0x时,).()(xvxxv从而20)()()()()(limxvxvxuxvxuxyx.即.2vvuvuvuy说明:①.vuvu②类比:vuvuuv)(,2vvuvuvu③.2vvuvuvu④若两个函数可导,则它们的和、差、积、商(商的情况下分母不为0)必可导.若两个函数必不可导,则它们的和、差、积、商不一定可导.例如,设xxxgxxxf1cos)(1sin)(、,则)()(xgxf、在0x处均不可导,但它们的和xxxgxfcossin)()(在0x处可导.2.范例①判断下列求导是否正确,如果不正确,加以改正.222sin)cos1(2cos1xxxxxxx2答案:不正确.应为322cos2sincos1xxxxxx注:.2vvuvuvu②求.sincossin2sin)(sinsin22222xxxxxxxxxxy③求332xxy在点3x处的导数.解:.)3(36)3(2)3()3(1222222xxxxxxxy.6114424)39(318923xy④求xytan的导数.解:xxxxxxxxyxxxy22cos1cos)(cossincos)(sincossin,cossintan∴.sec2xy变式练习:求xycot的导数.(答案:.csc2xy)⑤求xxy2sinsin12的导数.解:将函数变形为:.cot21tancossin2sincossin2sinsin12222xxxxxxxxxy∴.csc21sec)(cot21)(tan22xxxxy⑥求xxxxxy9532的导数.解:2123953xxxy3∴23212123)21(901233)(95)(3xxxxxy.1)11(292xx注:有的函数虽然表面形式为函数的商的形式,但在求导前利用代数或三角恒等变形将函数先化简,然后进行求导.有时可以避免使用商的求导法则,减少运算量.3.应用①求曲线122xxy在点(1,1)处的切线方程.回顾导数的几何意义:函数)(xfy在0x处的导数就是曲线)(xfy在点))(,(00xfxP处的切线的斜率.解:2222222)1(22)1(22)1(2,12xxxxxxyxxy.04221xy即曲线在点(1,1)处的切线斜率.0k因此曲线122xxy在点(1,1)处的切线方程为.1y②曲线运动方程为2221ttts,求3t时的速度.回顾导数的物理意义:瞬时速度是位移函数)(ts对时间t的导数:).()(xsxv解:运动物体在3t时的速度即是函数)(ts在3t时的导数..21121212222222tttttttttts∴.2726111227291.4121332tsttts即运动物体在3t时的速度为.272611(三)小结(纳入知识体系)1.综合上节与本节可知:由常函数、幂函数及正、余弦函数经加、减、乘、除运算得到的简单的函数均可利用求导法则与导数公式求导,而不需要回到导数的定义去求此类简单函数的导数.42.曲线的切线问题及物体的运运速度问题均均可借助于导数的几何意义及物理意义转化为简单函数的求导问题得到解决.(四)练习五、布置作业5

1、当您付费下载文档后,您只拥有了使用权限,并不意味着购买了版权,文档只能用于自身使用,不得用于其他商业用途(如 [转卖]进行直接盈利或[编辑后售卖]进行间接盈利)。
2、本站所有内容均由合作方或网友上传,本站不对文档的完整性、权威性及其观点立场正确性做任何保证或承诺!文档内容仅供研究参考,付费前请自行鉴别。
3、如文档内容存在违规,或者侵犯商业秘密、侵犯著作权等,请点击“违规举报”。

碎片内容

高中数学 第一章 导数及其应用 1.2 导数的计算(第3课时)教案 新人教A版选修2-2-新人教A版高二选修2-2数学教案

您可能关注的文档

确认删除?
VIP
微信客服
  • 扫码咨询
会员Q群
  • 会员专属群点击这里加入QQ群
客服邮箱
回到顶部